阿摩線上測驗
登入
首頁
>
研究所、轉學考(插大)-微積分
>
98年 - 98 國立臺灣大學轉學生招生考試試題_(商、管、農、經學院聯招) :微積分(C)#113230
> 申論題
題組內容
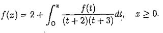
2. Suppose that f is a continuous function satisfying
Find
(2) f(3).
相關申論題
(1) f(0).
#483865
(2) f'(0).
#483866
(1) f(0).
#483867
(1)
#483869
(2)
#483870
4. Find all absolutely extrerne values of the function f(x, y) = x2+3y2 +y subject to the constraint x2+y2≤1.
#483871
5.Find the normal line for the surface z =x2-xy-y2 at the point (1,1,-1).
#483872
(1)
#483873
(2)
#483874
(1)r=2a cosθ, a>0.
#483875
相關試卷
113年 - 113 國立嘉義大學_轉學生招生考試試題_(全校):微積分#122986
113年 · #122986
112年 - 112 國立臺灣大學_碩士班招生考試題:微積分(D)#130254
112年 · #130254
112年 - 112 國立陽明交通大學_碩士班入學招生試題_統計學研究所﹕微積分與線性代數#130252
112年 · #130252
112年 - 112 國立嘉義大學_轉學生招生考試試題:微積分#123297
112年 · #123297
112年 - 臺灣綜合大學系統112 學年度學士班轉學生聯合招生考試試題 微積分A#120563
112年 · #120563
112年 - 112 臺灣聯合大學系統(清華、陽交、中央 聯招)學士班轉學生考試_A3、A4、A6理工組:微積分#117689
112年 · #117689
112年 - 112 臺灣聯合大學系統(清華、陽交、中央三校聯招)學士班轉學生考試_A2商管組:微積分#117687
112年 · #117687
112年 - 112 國立高雄師範大學轉學生招生考試試題_電子工程學系二年級:微積分#116290
112年 · #116290
112年 - 112 國立高雄師範大學_轉學生招生考試試題_電機工程學系二年級:微積分#116289
112年 · #116289
111年 - 111 國立臺北大學_轉學生招生考試試題_經濟學系二年級:微積分#117728
111年 · #117728