阿摩線上測驗
登入
首頁
>
力學
>
101年 - 101 專利商標審查特種考試_三等_物理:力學#46026
> 申論題
題組內容
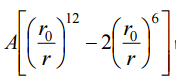
三、一質點在形式為Ur=
的位能中運動,r為質點到原點的距離,
(4)如一質點從(0.6r
0
, 0.8r
0
, 0)處移動 到(0, 0, r
0
)處,動能改變多少?(5 分)
相關申論題
(1)假設珠子垂直初速為零,但是有 一水平初速,且撞擊秤盤時為彈性碰撞,此時彈簧秤讀數是多少 kg?(10 分)
#156186
(2) 假設珠子初速為零,且垂直落下,撞擊秤盤後就黏在秤盤上,此時彈簧秤讀數怎樣 隨時間變化?以時間為變數寫出讀數的函數形式。(10 分)
#156187
(1)轉盤、人、物體合起來的總角動 量是多少?(5 分)
#156188
(2)人提著物體從中央走到轉盤邊緣,此時轉盤轉速應為多少? (10 分)
#156189
(3)他再把所提物體向外丟出,如果物體是沿半徑方向飛出,則轉盤轉速 應為多少?(5 分)
#156190
(4)如果物體是沿切線方向(和轉動方向一致)飛出,對地速 度為 5 m/s,則轉盤轉速應為多少?(10 分)
#156191
(1) 求在r處的力,(5 分)
#156192
(2)找出力的平衡點,(力等於零的位置),(5 分)
#156193
(3)如一 質點能量為 3A,它r最小可以是多少?(5 分)
#156194
(5)總能量大於零的質點和總能量小於零的質 點運動的情形有什麼不同?(5 分)
#156196
相關試卷
114年 - 114 公務升官等考試_薦任_物理:力學#133258
114年 · #133258
112年 - 112 公務升官等考試_薦任_物理:力學#117333
112年 · #117333
110年 - 110 公務升官等考試_薦任_物理:力學#103699
110年 · #103699
108年 - 108 公務升官等考試_薦任_物理:力學#80534
108年 · #80534
108年 - 108 公務升官等考試_簡任_物理:力學研究#80523
108年 · #80523
106年 - 106 公務升官等考試_薦任_物理:力學#66252
106年 · #66252
104年 - 104 公務升官等考試_薦任_物理:力學#41305
104年 · #41305
102年 - 102 公務升官等考試_簡任_物理:力學研究#43820
102年 · #43820
102年 - 102 公務升官等考試_薦任_物理:力學#43668
102年 · #43668
101年 - 101 專利商標審查特種考試_三等_物理:力學#46026
101年 · #46026