阿摩線上測驗
登入
首頁
>
研究所、轉學考(插大)-高等微積分
>
91年 - 91 淡江大學 轉學考 高等微積分#56136
> 申論題
題組內容
三、
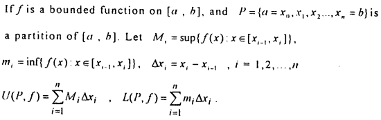
(4)If/is continuous on [a , b]. show that/is Riemann integrable on [a,b]. (10%)
相關申論題
(1) Find f'{x), if f(x)=xx,x>0.
#213328
(a) if lim sup | |< 1 , the series converges absolutely .
#213338
(b) if lim inf | |> 1 , the series diverges . rt->oo CJn
#213339
(c) if lim | 1 |= i , then no conclusion . (15%) n-*co Un
#213340
七、(14%) Suppose that V is open and connected in Rn, and that is differentiable on V such that is constantin V.
#464607
六、(16%)Prove that first-order partial derivatives of exist at (0,0), but f is not continuous at (0,0)
#464606
(3) Suppose that f:R-→R is contnuous and .Find F'(x). 5%
#464605
(2) Provethat f integrable on [0.1],then 10%
#464604
(1) What is f integrable on [a,b]?5%
#464603
四、(12%) Show that is uniformly continuous on (0, 1000).
#464602
相關試卷
110年 - 110 國立清華大學碩士班考試入學試題_數學系:高等微積分#105486
110年 · #105486
110年 - 110 國立中央大學_碩士班招生考試_數學系/數學組(一般生):高等微積分#105339
110年 · #105339
110年 - 110 國立中山大學碩士暨碩士專班招生考試_應數系碩士班/丙組:高等微積分#104293
110年 · #104293
110年 - 110 國立臺灣大學_碩士班招生考試_數學研究所:高等微積分#101950
110年 · #101950
109年 - 109 東吳大學_轉學生招生考試_數學系三年級︰高等微積分#108263
109年 · #108263
107年 - 107 東吳大學_碩士班招生考試_數學系(A組):高等微積分#107433
107年 · #107433
107年 - 107 東吳大學_暑假轉學生招生考試_數學系三年級:高等微積分#105419
107年 · #105419
104年 - 104 淡江大學 轉學考 高等微積分#55495
104年 · #55495
99年 - 99 淡江大學 轉學考 高等微積分#55746
99年 · #55746
97年 - 97 淡江大學 轉學考 高等微積分#55794
97年 · #55794