阿摩線上測驗
登入
首頁
>
研究所、轉學考(插大)◆工程數學
>
109年 - 台聯大_工程數學D#110754
> 申論題
題組內容
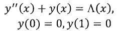
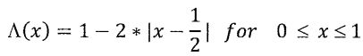
九、(10%,計算題)
Consider the following boundary value problem in the range of 0 ≤x≤1:
Here
(B) (5%) Please determine the value of c
1
.
相關申論題
計算題1.請推導理想氣體方程式PV=nRT (12分)
#474452
2.兩平行板通電,其電位差為V伏特,兩板間的距離為d公尺,有一質量為mkg,帶-q庫侖之點電荷,自離正電板h公尺高度(h<d)以水平速度V0公尺/秒射入此兩平行板間。 當到達正電板時,其在平行板內水平射程為何?(重力可忽略)(以d,V,q,h,V0表示)
#474453
二、簡答題(每題10分,共計20分) 1.對仗(請說明定義,並舉實例)
#474454
2.名詞解釋:「文必秦漢,詩必盛唐」
#474455
1. 以上是歷屆會考中最難的一道題目,全國通過率只有0.24(100位學生中只有24位答對),請先寫出這題的正確答案為何?再從錯誤答案中,推測誘答力最強的選項為何?並說明學生的學習盲點在哪裡?最後敘述文言文教學上可以如何進行、補救,以破除學生此類型的迷思概念?
#474456
2.國際閱讀素養評量(Programme for International Student Assesment,簡稱PISA),將閱讀理解歷程分為三個層次,分別為擷取訊息、統整解釋及省思評鑑。請就以下文本,以上述閱讀理解歷程進行提問設計。 有一年,我已經二十幾歲,在學校沒有認真讀書,沈迷賭博,積欠別人一千五百元的賭債,那時的一千五很大, 恐怕相當於現在的五千元。我沒有弄錢的地方,回家去,騙父親說我要買書,父親照樣二話不說,低頭沉吟甚 久,叫起我,說:「走吧!我們去向阿樹伯借!」 我跟在他後面,那時太陽很大,我走在後面,看他不住的揮汗,背有點駝。到了阿樹伯家,他們一家人正在忙 碌的工作,把剛曬乾的稻穀用風鼓吹去沙粒與壞穀,然後用布袋裝起來,滿滿的一個大曬穀場,恐怕有兩三百 袋。阿樹伯問父親有什麼事,父親嘿嘿乾笑兩聲,欲言叉止,看樣子很難啟齒,阿樹伯又追問一次,他說沒有 什麼,就去幫他們的忙,也示意我一起幫著工作,工作中,父親出現好幾次欲言又止的場面,最後還是把話嚥了下去。一直到工作做完,天都黑了,父親背對著阿樹伯,才怯怯的把话說出來。 我拿到那一千五百元,心都碎了,但仍然裝作若無其事。回家的路上,父親像做完一件大事似的,很輕鬆的講 一些趣事。我把手插在褲袋裏,捏著那一千五百元,捏成一團,錢都被我的手汗弄濕了。 回到家,我就說我要走了。父親看著我,說:「好,你要認真讀書,不要擔心錢的事!」說完,他從衣袋裏掏出 三張老舊的卻折整齊的十元鈔票,塞在我手裏,說「阿爸只有三十元,你拿著,可以吃冷吃熱!」我說不必 了,把他的手挪開,客客氣氣強忍著跟家人話別,然後轉身在黑暗中離開家門,一路走,一路哭,一直哭到車站。 洪醒夫-〈父親大人〉
#474457
3. 請以課堂實際教學、引導學生領略詩境的角度賞析余光中〈夸父〉一詩,並設計課後能延伸發展108課綱所列之議題融入的課程活動教案(19項議題擇一即可) 【參考資料】
#474458
1.經三綾鏡折射後,不能再分散為其他色光之光,稱為__________光。
#474459
2. 公尺長的單擺,其週期為2秒則64公分長的單擺,其週期為_________ 秒。
#474460
3.有一液壓機,其大小兩活塞之半徑比為5:1 今欲將1000公斤之重物由大活塞舉起,則在小活塞應施力________ 公斤。
#474461
相關試卷
110年 - 110 國立中央大學_碩士班招生考試_機械工程學系、機械工程學系(光機電工程)、能源工程研究所_(共同):工程數學#125285
110年 · #125285
110年 - 110 國立臺灣大學_碩士班招生考試_部分系所:工程數學(A)#125255
110年 · #125255
110年 - 110 台灣聯合大學系統_碩士班招生考試_電機科:工程數學(C)#125211
110年 · #125211
110年 - 110 台灣聯合大學_碩士班招生_電機類:工程數學C#124898
110年 · #124898
110年 - 台聯大_工程數學B#113346
110年 · #113346
110年 - 110 國立臺灣科技大學_碩士班招生試題_材料科學與工程系(乙組):工程數學#113288
110年 · #113288
110年 - 110 國立台北科技大學碩士班招生考試_自動化科技研究所:工程數學#111318
110年 · #111318
110年 - 110 國立臺灣大學_碩士班招生考試_部分系所:工程數學(D)(含線性代數、機率與統計)#111303
110年 · #111303
110年 - 110 台灣聯合大學系統碩士班招生考試_電機類:工程數學A#110408
110年 · #110408
110年 - 110 國立臺北科技大學_碩士班招生考試_機械工程系機電整合碩士班:工程數學#107430
110年 · #107430