阿摩線上測驗
登入
首頁
>
主題課程專用
>
無年度 - 主題課程_商學院統計:動差生成函數#107834
> 申論題
題組內容
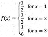
If X has the probability mass function:
(a) What is variance of the distribution of X?
相關申論題
Let X be a random variable with probability density function given byFind the moment generating function for X.
#461997
If the moment generating function of X is M(t) = 0.45 + , what is E(X) and variance of X?
#461998
The moment-geterating function of X is . What are the p.d.f. of X as well as the expectation E(X) and variance Var(X)? (Please show the details)
#461999
(b) What is moment generating function of X?
#462001
(1) Find the moment-generating function of Y.
#462002
(2) Find the probability density function (pd) of Y.
#462003
1
#462004
2
#462005
The joint pdf of the two continuous random variables X and Y is given by for 0if it exists. Using the moment-generating function, compute E(X), E(X), and Cov(X,Y)
#462006
(a)
#462007
相關試卷
無年度 - 主題課程_向量空間:秩(rank)、零度(nullity)、維度#108952
#108952
無年度 - 主題課程_向量空間:基底和維度#108872
#108872
無年度 - 主題課程_理工學院機率論:古典機率論#108850
#108850
無年度 - 主題課程_向量空間:線性獨立和線性相依#108250
#108250
無年度 - 主題課程_理工學院機率論:機率分配(離散型、連續型)#107979
#107979
無年度 - 主題課程_向量空間:向量空間和子空間#107951
#107951
無年度 - 主題課程_理工學院機率論:多元隨機變數#107950
#107950
無年度 - 主題課程_理工學院機率論:單一隨機變數#107935
#107935
無年度 - 主題課程_行列式和線性方程式:線性方程式#107934
#107934
無年度 - 主題課程_線性映射:基底變換和座標變換#107933
#107933