阿摩線上測驗
登入
首頁
>
研究所、轉學考(插大)-微積分
>
112年 - 112 臺灣聯合大學系統(清華、陽交、中央三校聯招)學士班轉學生考試_A2商管組:微積分#117687
> 申論題
題組內容
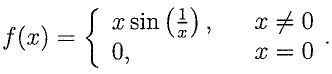
1: Consider the function
(b)(4分)Find f'(x) for x≠0.
相關申論題
1. Find the limit.
#502882
2. Find (x sin x).
#502883
3. Evaluate the integral
#502884
4. Evaluate the integral dydx.
#502885
5. Consider the region bounded by the graphs of y = In x, y = 0, and x = e. Find the volume of the solid formed by revolving the region about the x-axis.
#502886
6. Let y = (sin a)x, sin x > 0. Find
#502887
7. Assume that constants a and b are positive. Find equations for all horizontal asymptotes for the graph of .
#502888
8. We say that the two commodities are substitute commodities if a decrease in the demand for one results in an increase in the demand for the other. Con- versely, two commodities are referred to as complementary commodities if a decrease in the demand for one results in a decrease in the demand for the other as well. Suppose that the demand equations that relate the quantities demanded x and y to the unit prices p and q of the commodities A and B respectively are given by . Are A and B substitute, complementary or neither?
#502889
(a) (4 分) Show that f is continuous at x = 0.
#502890
(c) (4 分) Use the limit definition of the derivative to show that f is not differ- entiable at x = 0.
#502892
相關試卷
114年 - 114 臺灣綜合大學系統_學士班轉學生考試試題:微積分B#137819
114年 · #137819
114年 - 114 台灣聯合大學系統_學士班轉學生考試試題:微積分#137762
114年 · #137762
114年 - 114 台灣聯合大學系統_學士班轉學生考試試題:微積分#137761
114年 · #137761
114年 - 114 國立臺灣大學_轉學生招生考試_物理學系/土木工程學系/生物環境系統工程學系/生物機電工程學系:微積分(B)#137745
114年 · #137745
114年 - 114 國立臺灣大學_轉學生招生考試_數學系:微積分(A)#137744
114年 · #137744
113年 - 113 國立嘉義大學_轉學生招生考試試題_(全校):微積分#122986
113年 · #122986
112年 - 112 國立臺灣大學_碩士班招生考試題:微積分(D)#130254
112年 · #130254
112年 - 112 國立陽明交通大學_碩士班入學招生試題_統計學研究所﹕微積分與線性代數#130252
112年 · #130252
112年 - 112 國立嘉義大學_轉學生招生考試試題:微積分#123297
112年 · #123297
112年 - 臺灣綜合大學系統112 學年度學士班轉學生聯合招生考試試題 微積分A#120563
112年 · #120563