阿摩線上測驗 登入

申論題資訊

試卷:110年 - 110 國立台北科技大學碩士班招生考試_自動化科技研究所:工程數學#111318
科目:研究所、轉學考(插大)◆工程數學
年份:110年
排序:0

題組內容

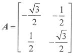
5. (20%) For the following matrix
  63524a17c33d8.jpg
Let T:R2→R2 be the linear transformation given by 63524a474c486.jpg.

申論題內容

(b) (10%) Compute 63524a6130fee.jpg