阿摩線上測驗
登入
首頁
>
研究所、轉學考(插大)◆工程數學
>
110年 - 110 國立中山大學碩士暨碩士專班招生考試_機電系碩士班/乙、丙組:工程數學#104304
> 申論題
題組內容
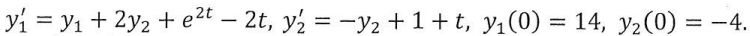
2. Given a system of ODE:
(b) Find the eigenvalues and eigenvectors of A. (5%)
相關申論題
(d) Find the particular solution. (5%)
#441600
(a) Set up the model. (5%)
#441601
(b) Find I1(s) and I2(s). (10%)
#441602
(c) Find i1(t) and i2(t).(5%)
#441603
(a)(3A -2B)T (5%)
#441604
(b)(3A-2B)TaT(5%)
#441605
5.Find an cigentagi and pecrform diagonalization on the folowing matri. (10%)
#441606
6. Let a = [4, 7, 0], b= [3,-1, 5], c=[-6,2,0], and d = [1,-2, 8]. Find the angle between a and c. Between b and d. (10%)
#441607
7. Calculate this line integral by Stokes's theorem for the given F and C. Assume the Cartesian coordinates to be right-handed and the z-component of the surface normal to be nonnegative. F= [0,z3,0], C the boundary curve of the cylinder x2 + y2= 1, x≧ 0,y ≧ 0, 0 ≦z≦1 (10%)
#441608
8. Solve y''+ ω2y = r(t), where -periodic and r(t)=3t2(-π<t<π).(10%)
#441609
相關試卷
110年 - 110 國立中央大學_碩士班招生考試_機械工程學系、機械工程學系(光機電工程)、能源工程研究所_(共同):工程數學#125285
110年 · #125285
110年 - 110 國立臺灣大學_碩士班招生考試_部分系所:工程數學(A)#125255
110年 · #125255
110年 - 110 台灣聯合大學系統_碩士班招生考試_電機科:工程數學(C)#125211
110年 · #125211
110年 - 110 台灣聯合大學_碩士班招生_電機類:工程數學C#124898
110年 · #124898
110年 - 台聯大_工程數學B#113346
110年 · #113346
110年 - 110 國立臺灣科技大學_碩士班招生試題_材料科學與工程系(乙組):工程數學#113288
110年 · #113288
110年 - 110 國立台北科技大學碩士班招生考試_自動化科技研究所:工程數學#111318
110年 · #111318
110年 - 110 國立臺灣大學_碩士班招生考試_部分系所:工程數學(D)(含線性代數、機率與統計)#111303
110年 · #111303
110年 - 110 台灣聯合大學系統碩士班招生考試_電機類:工程數學A#110408
110年 · #110408
110年 - 110 國立臺北科技大學_碩士班招生考試_機械工程系機電整合碩士班:工程數學#107430
110年 · #107430