題組內容
第一部分、填充題(請勿附加推導過程)
1. (Total=15%) Fig. 1 shows a series of operations that are used to separate random
processes into different frequency regions. The input random process x(t) is
Gaussian and white with a power spectral density function of Sx(f) = 2.
Fig 1. Problem 1.
The system functions of the various linear filters are as follows
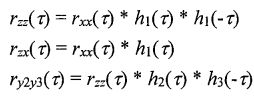
We developed expressions that relate the various random processes that are inputs and outputs to linear filters. For example, recall that

Use the above properties, your knowledge of Fourier transforms, and your general knowledge of the properties of random processes to answer the following questions.
The system functions of the various linear filters are as follows

We developed expressions that relate the various random processes that are inputs and outputs to linear filters. For example, recall that

Use the above properties, your knowledge of Fourier transforms, and your general knowledge of the properties of random processes to answer the following questions.