阿摩線上測驗 登入

申論題資訊

試卷:110年 - 110 國立臺灣大學_碩士班招生考試_數學研究所:高等微積分#101950
科目:研究所、轉學考(插大)-高等微積分
年份:110年
排序:0

題組內容

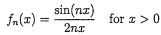
(3)(5+10+10分]Consider
615bab65831b4.jpg

申論題內容

(c) Does615bac78f2b5a.jpg converges to f(x) unijormly over (0,∞)? Give your reason. 

1An isosceles triangle is a triangle that has t two sides of equal length.
2A metric space M is totally discon nnected if for every 615baceef3361.jpg there exists a subset U C which is both open and closed, and which is contained in the open ball of radius e centered at x.