題組內容
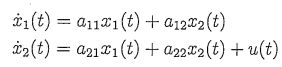
5. (25%) Consider the following system of differential equations: 
where
are constant coefficients.
(d) (6%) For the values
, calculate the steady-state response of y(t) = 2x1(t)-x2(t).
5. (25%) Consider the following system of differential equations: 
where
are constant coefficients.
(d) (6%) For the values
, calculate the steady-state response of y(t) = 2x1(t)-x2(t).