題組內容
(2) (9 points)
The Navier-Stokes equation can be written as
where
represents the fluid velocity, p is pressure,
is the gravitational acceleration, t stands for time, ρ
the fluid density and p the fluid viscosity.
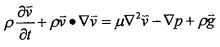
(2) (9 points)
The Navier-Stokes equation can be written as
where
represents the fluid velocity, p is pressure,
is the gravitational acceleration, t stands for time, ρ
the fluid density and p the fluid viscosity.