阿摩線上測驗 登入

申論題資訊

試卷:109年 - 109國立成功大學_碩士班招生_電機資訊學院:工程數學#103801
科目:研究所、轉學考(插大)◆工程數學
年份:109年
排序:0

題組內容

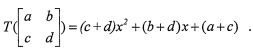
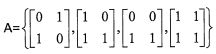
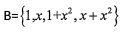
8. (20%) Let R and S be vector spaces with ordered bases 618dbf29723b7.jpgand618dbf4f2ab0a.jpg, respectively. Let T: R>S be a linear transformation such that618dbf7a65798.jpg

申論題內容

(d) What is the matrix form of T from A to B?