阿摩線上測驗
登入
首頁
>
研究所、轉學考(插大)◆普通化學
>
107年 - 107 東吳大學_暑假轉學生招生考試_化學系二年級:普通化學#105770
> 申論題
題組內容
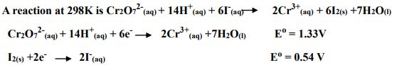
1.
(d). Calculate Ecell (V)at 298K when
= 2.0 M, [H⁺ ] = 1.0 M, [I⁻ ] = 1.0 M,
= 1.0 x
M.
相關申論題
(a). Calculate Ecello (in V)for the voltaic cell. (計算此伏打電池的標準電位值)
#450270
(b). Calculate equilibrium constant k. (計算此反應的平衡常數)
#450271
(c). Calculate △G0 (in KJ) for the reaction. (F = 96485 C/ mole)
#450272
(a). Determine the rate law for this reaction. (寫出反應速率與濃度關係的方程式)
#450274
(b). Calculate the rate constant with unit. (計算速率常數附上單位)
#450275
(c). Calculate the rate (with unit) when [NO] = 0.0500 M and [H2] = 0.150M . (計算反應速率附上單位)
#450276
(d). Calculate [NO] when initial rate is 3.94 x (M/S) and [H2] is 0.200 M.
#450277
(a). Calculate the pH of the solution formed when 45.0 mL of 0.100 M NaOH is added to 50.0 mL of 0.100 M CH3COOH( )
#450278
(b). Calculate the pH at the equivalence point in the titration of 50.0 mL of 0.100 M CH3COOH with 0.100 M NaOH. Part B. Single choice.
#450279
7. Draw all the geometrical isomers of (en = ethylenediamine). Which of these isomers also has an optical isomer? Please draw clearly to receive full credit. Circle the one that has an optical isomer and draw the optical isomer also.
#550840
相關試卷
114年 - 114 中國醫藥大學_學士班寒假轉學考試試題:普通化學(重複)#137262
114年 · #137262
114年 - 114 中國醫藥大學_學士班寒假轉學考試試題:普通化學#136734
114年 · #136734
114年 - 114 臺灣綜合大學系統_學士班轉學生聯合招生考試試題:普通化學A#129359
114年 · #129359
114年 - [無官方正解]114 臺灣綜合大學系統_學士班轉學生聯合招生考試試題:普通化學B#129358
114年 · #129358
114年 - [無官方正解]114 台灣聯合大學系統_度學士班轉學生考試_A1﹕普通化學#128207
114年 · #128207
114年 - [無官方正解]114 台灣聯合大學系統_學士班轉學生考試試題_A6﹕普通化學#128205
114年 · #128205
114年 - 114 國立臺灣大學_ 碩士班招生考試試題︰普通化學#125982
114年 · #125982
113年 - [無官方正解]113年 - 113 台灣綜合大學系統_學士班轉學生聯合招生考試試題:普通化學A#128806
113年 · #128806
113年 - 113 國立臺灣大學_轉學生招生考試:普通化學(C)#126296
113年 · #126296
113年 - 113 台灣聯合大學系統_學士班轉學生考試試題_A1:普通化學#123529
113年 · #123529