阿摩線上測驗
登入
首頁
>
台大◆電機◆離散數學(B)
>
112年 - 112 國立臺灣大學_碩士班招生考試:數學(B)#130247
> 申論題
題組內容
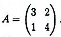
3. Let
Find
(iii) a diagonal matrix D and an invertible matrix C such that A =
.
相關申論題
1. Let where x ∈ R. Determine the rank of A according to the value of x.
#552052
(i)
#552053
(ii)
#552054
(iii)
#552055
(i) all eigenvalues of A;
#552056
(ii) all eigenvectors of A;
#552057
(i)
#552059
(ii)
#552060
(i) the row space of A;
#552061
(ii) the column space of A;
#552062
相關試卷
112年 - 112 國立臺灣大學_碩士班招生考試:數學(B)#130247
112年 · #130247
110年 - 110 國立臺灣大學_碩士班招生考試_部分系所:離散數學(B)#101167
110年 · #101167
109年 - 109 國立臺灣大學_碩士班招生考試_電機工程研究所丙組:離散數學(B)#105860
109年 · #105860