阿摩線上測驗 登入

申論題資訊

試卷:108年 - 108 專技高考_化學工程技師:化工熱力學#80730
科目:技師◆化工熱力學
年份:108年
排序:0

題組內容

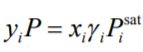
四、有一雙成分系統的氣液平衡可由5ddcbc42842c4.jpg 關係式表示,其中5ddcbc546eddd.jpg為成 分純物質蒸氣壓,可由安東尼方程式(Antoine equation)表示如下:5ddcbc6b4c123.jpg ,其中 T 之單位為 K (Kelvin),飽和蒸氣壓單位為 kPa;活性係數(activity coefficients)表示為5ddcbc9714ae8.jpg, T 之單位為 K。

申論題內容

⑴在溫度 345 K 及液態濃度 x1= 0.25,請估算系統壓力及氣相(vapor phase)中的成分平衡摩爾分率。(13 分)