所屬科目:技師◆化工熱力學
⑴之值。(7 分)
⑵ 之值。(7 分)
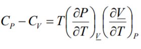
⑶ CP–CV之值,其中。(11 分)
⑵若渦輪的效率(efficiency =實際 ws /最大 ws , reversible process)僅為 0.75,請估算出口水蒸氣之溫度(6 分)及熵(entropy)。(6 分) 可用水蒸氣數據如下: