阿摩線上測驗
登入
首頁
>
數位訊號處理(DSP)
>
106年 - 106 一般警察特種考試_二等_刑事警察人員犯罪分析組:數位訊號處理(DSP)#62382
> 申論題
申論題
試卷:106年 - 106 一般警察特種考試_二等_刑事警察人員犯罪分析組:數位訊號處理(DSP)#62382
科目:數位訊號處理(DSP)
年份:106年
排序:0
申論題資訊
試卷:
106年 - 106 一般警察特種考試_二等_刑事警察人員犯罪分析組:數位訊號處理(DSP)#62382
科目:
數位訊號處理(DSP)
年份:
106年
排序:
0
題組內容
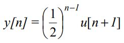
二、考慮線性不隨時變系統(LTI),若其輸入 x[n]=u[n],輸出
。
申論題內容
⑴求該系統脈衝響應之 z 轉換 H(z),及其在 z 平面上收斂範圍,並繪出 zero 及 pole 點之位置。(15 分)
詳解 (共 1 筆)
詳解
提供者:吳峰蒼
111