阿摩線上測驗
登入
首頁
>
計算機概論
>
106年 - 106 一般警察特種考試_二等_刑事警察人員犯罪分析組:計算機概論(包括計算機結構、資料結構、程式設計)#62390
> 申論題
題組內容
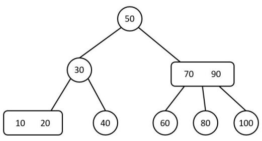
二、給予如下的 2-3 tree:
⑴畫出連續加入資料 37 與 36 後的 2-3 tree。(10 分)
相關申論題
⑴加入ㄧ資料項目至佇列的後端 (Add item to the rear of the queue.): void enqueue (Q_TYPE *queue, ITEM_TYPE new_item ) /* Preconditions: queue not full */ (10 分)
#249114
⑵從佇列前端移除ㄧ資料項目 (Remove item from the front of the queue.): void dequeue (Q_TYPE *queue, ITEM_TYPE *old_item ) /* Preconditions: queue not empty */(10 分)
#249115
⑵從給予的 2-3 tree,畫出連續刪除資料 70, 100, 與 80 後的 2-3 tree。(10 分)
#249117
⑴將此串資料建成二元搜尋樹(Binary Search Tree)。(10 分)
#249118
⑵承題⑴,執行二元樹的何種運算,可將此串資料做排序?(10 分)
#249119
四、給予ㄧ鏈結串列(Linked List)的節點(Node)定義如下:(20 分)請用 C 語言寫ㄧ函數 concat (NODEPTR *plist1, NODEPTR *plist2),將 plist2 鏈結串列接在鏈結串列 plist1 的後面,plist1 與 plist2 分別各是ㄧ環狀鏈結串列(Circular Linked List)之指標,plist1 與 plist2 指標分別指在各環狀鏈結串列的最後一個節點。
#249120
五、看ㄧ快取記憶體設計能否進一步改善,我們要瞭解快取記憶體失誤的種類(Types of Misses),請列舉三類快取記憶體的失誤(Three Types of Cache Misses),並請說明。 (20 分)
#249121
四、請完成計算中位數與眾數兩個方法(I)~(V)空格程式,使程式正常運作,以輸出 Mean=1, Mode=5。其中,中位數是將一組數值資料由小到大排列 後,取最中間的數值為中位數。若資料個數為奇數,則取最中間的數值 為中位數,例如 1, 2, 3, 3, 4, 6, 7, 7, 9 的中位數是 4;若資料個數為偶數, 則取最中間兩個數值的平均為中位數,例如 1, 2, 3, 3, 4, 6, 7, 7, 8, 9 的 中位數是(4+6)/2=5。眾數,則是指一組數字中出現次數最頻繁的數字。 例如,2、3、3、5、7、10 的眾數是 3。最後請說明此程式是否有不安全的地方,以及其原因。(25 分)
#513153
三、某城市有景點 A~E,其連接的道路均為單行道,單行道起點、終點與 距離的資訊為:A->B (20)、A->C (25)、A->D (11)、B->C (25)、B->E (18)、 C->D (27)、C->E (12)、D->B (24)、E->A (22)。請畫出"起始點為 B"之廣 度優先走訪樹狀圖,其中每一個景點只出現一次。另外請畫出根節點"起 始點為 B",其他景點為葉節點的展開樹,找出 B->D 景點的所有路徑與 最短路徑,以及所經過之景點及其距離。最後,請說明上面最短路徑走 訪方法的演算步驟。 (25 分)
#513152
二、臺灣科技公司規劃網路,其中財務部門使用 C 等級(class C)的網路系 統並手動設定 IP,子網路遮罩為 255.255.255.224。其中,財務主管小明 的 IP 為 140.123.100.89,員工佳佳的 IP 為 140.123.100.182。請寫出小明 的網路位址、廣播位址(以十進位表示) ;以及說明財務部門的網路可以 切割成幾個子網路、每個子網路設定可用主機電腦數量。最後,請說明 手動設定電腦 IP 位址時,子網路遮罩(Subnet Mask)與預設閘道的 功能。(25 分)
#513151
相關試卷
113年 - 113 國家安全情報特種考試_三等_資訊組(選試英文):計算機概論#120432
113年 · #120432
111年 - 111 臺北自來水事業處及所屬工程總隊_新進職員甄試試題_資訊處理(軟體)/一級業務員:計算機概論(含硬體及軟體)#137602
111年 · #137602
111年 - 111 調查特種考試_三等_電子科學組:計算機概論#110242
111年 · #110242
109年 - 109 鐵路人員特考_員級_電子工程:計算機概要#87178
109年 · #87178
109年 - 109 鐵路特種考試_高員三級_電力工程、電子工程:計算機概論#87144
109年 · #87144
109年 - 109 合作金庫商業銀行_新進人員甄試_機房操作人員:計算機概要#85458
109年 · #85458
108年 - 108 漢翔航空工業股份有限公司_新進人員甄選試題_師級-資訊工程:計算機概論#137754
108年 · #137754
108年 - 108 關務特種考試_三等_電機工程:計算機概論#94489
108年 · #94489
108年 - 108 臺灣菸酒股份有限公司_從業職員及從業評價職位人員甄試_從業職員/電腦稽核:計算機概論#74336
108年 · #74336
107年 - 107 財團法人台灣票據交換所_新進人員甄試_5職等/系統操作人員:計算機概論#74526
107年 · #74526