阿摩線上測驗 登入

申論題資訊

試卷:109年 - 109 專技高考_電機工程技師:電機機械#93338
科目:電機機械
年份:109年
排序:0

題組內容

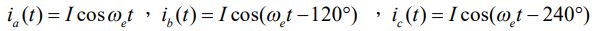
四、如下圖(左)之三相電機定子繞組,其 a、b、c 相軸各相差120°;又下圖(右)之三相電流時間函數分別為:5fbde6e68cf46.jpg ,其中 ωe= 100  π試以計算或作圖回答下列問題:(15 分)
5fbde71b35e1c.jpg5fbde73f5c8fa.jpg

申論題內容

⑵當時間5fbde78262a88.jpg時,畫出三相電流所產生的磁動勢向量和。