阿摩線上測驗
登入
首頁
>
天氣學
>
102年 - 102年升官等、102年關務人員升官等、102年交通事業郵政、港務及公路人員升資考公務薦任_氣象#23941
> 申論題
申論題
試卷:102年 - 102年升官等、102年關務人員升官等、102年交通事業郵政、港務及公路人員升資考公務薦任_氣象#23941
科目:天氣學
年份:102年
排序:0
申論題資訊
試卷:
102年 - 102年升官等、102年關務人員升官等、102年交通事業郵政、港務及公路人員升資考公務薦任_氣象#23941
科目:
天氣學
年份:
102年
排序:
0
題組內容
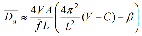
三、假設梯度風平衡,且等重力位線為完美正弦波時,可導出高層斜壓波槽前(槽至下 游脊)之平均輻散約為:
其中 V 為風速,L 為波長,A 為振幅,C 為波速,
為槽至脊間科氏參數之平均值, 而 β 為 df/dy。試利用以上資訊,回答下列問題:
申論題內容
⑵試繪圖討論斜壓大氣中,槽前風速與輻合/輻散之垂直分布結構為何?(10 分)