阿摩線上測驗
登入
首頁
>
技師◆計畫分析方法
>
107年 - 107 專技高考_都市計畫技師:計畫分析方法#72942
> 申論題
題組內容
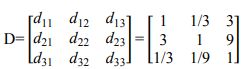
三、A 市 B 區 C 里正進行土地使用計畫檢討,里民討論出 3 個願景方案(分 別為:方案 1、方案 2、方案 3)。進行方案評估時,經由「焦點團體訪 談(focus group interviewing)」,獲得多數里民共識支持的方案成對比較 矩陣如下:
其中,d
ij
代表方案 i 相對於方案 j 的重要程度。
⑵請使用「分析階層程序法(analytic hierarchy process, AHP)」的分析式, 評估三個方案間的相對重要性。(10 分)
相關申論題
⑶前述 AHP 評估結果的「一致性指標(consistence index)」為何?(5 分)
#296967
⑴請問 E 國最新產業關聯係數矩陣為何?(10 分)
#296968
⑵若 E 國政府計畫向國內農業與工業分別採購 100 億元產品,請問此採 購計畫將使這兩個產業分別增加多少產值?(10 分)
#296969
⑶假設交易表中的原始投入只包含勞務報酬一項,請問前述採購計畫將 引發多少總所得效果?(5 分)
#296970
一、扣件又稱連接件,鋼製螺絲是扣件之最大宗,我國為扣件外銷重要的國 家,請依序列出螺絲生產之金屬加工方法與步驟,並試述⑴各方法對鋼 鐵材料性質之影響(15 分),⑵為維護扣件品質應留意之參數(15 分)。
#296971
二、鑄造是人類使用金屬材料最古老的方法,請說明鑄造鐵與銅之差異。現 代的交通工具生產常常用球墨鑄鐵當做耐磨耗零件,請說明它的原理與 作法。(20 分)
#296972
三、金屬材料之加工方法有熱鍛、冷鍛、熱軋、冷軋,請詳細說明其相同與 相異點,並敘述為何選擇該加工方法?請以產品的觀點舉出各加工方法 應用的例子。(30 分)
#296973
四、鋼鐵製品在加工成形後經常需要再經過退火熱處理,請說明退火熱處理 的方法、原理、品質評斷方法。(20 分)
#296974
⑴何謂記憶體對映 I/O 定址?(10 分)
#296975
⑵假設位址匯流排(address bus)使用 12 條線路。若記憶體是由 4000 個字組(words)所組成,則有多少個具有 8 個暫存器之控制器可以 被此計算機存取?(15 分)
#296976
相關試卷
114年 - 114 專技高考_都市計畫技師:計畫分析方法#133720
114年 · #133720
113年 - 113 專技高考_都市計畫技師:計畫分析方法#123894
113年 · #123894
112年 - 112 專技高考_都市計畫技師:計畫分析方法#117628
112年 · #117628
111年 - 111 專技高考_都市計畫技師:計畫分析方法#111928
111年 · #111928
110年 - 110 專技高考_都市計畫技師:計畫分析方法#104190
110年 · #104190
109年 - 109 專技高考_都市計畫技師:計畫分析方法#93166
109年 · #93166
108年 - 108 專技高考_都市計畫技師:計畫分析方法#80854
108年 · #80854
107年 - 107 專技高考_都市計畫技師:計畫分析方法#72942
107年 · #72942
106年 - 106 專技高考_都市計畫技師:計畫分析方法#66452
106年 · #66452
104年 - 104 專技高考_都市計畫技師:計畫分析方法#41510
104年 · #41510