阿摩線上測驗
登入
首頁
>
有機化學
>
106年 - 106 普通考試_化學工程:有機化學概要#63546
> 申論題
題組內容
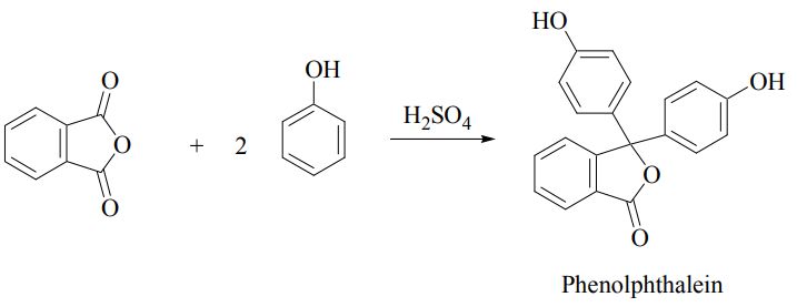
四、酸鹼指示劑酚酞(phenolphthalein)的製備如下所示:
⑵酚酞在鹼性條件下,呈現具紅色之雙陰離子化合物,此雙陰離子化合物結構為何?寫出反應機構。
相關申論題
⑴
#254756
⑵
#254757
⑶
#254758
⑷
#254759
⑸
#254760
二、請比較下列兩個分子的相對穩定度,並說明理由。
#254761
三、請提出合理的反應機構解釋下列反應。
#254762
⑴寫出反應機構。
#254763
五、請設計由乙酸乙烯酯(CH3COOCH=CH2)合成聚乙烯醇 poly(vinyl alcohol)的合成路徑。
#254765
六、鄰硝基酚(o-nitrophenol)和對硝基酚(p-nitrophenol)何者沸點較低? 並說明理由。
#254766
相關試卷
115年 - 115 關務特種考試_三等_化學工程(選試英文):有機化學#138982
115年 · #138982
115年 - 115 關務特種考試_四等_化學工程(選試英文):有機化學概要#138903
115年 · #138903
114年 - 114 公務升官等考試_薦任_化學工程:有機化學#133257
114年 · #133257
114年 - 114 調查特種考試_三等_化學鑑識組、醫學鑑識組:有機化學#129586
114年 · #129586
114年 - 114 一般警察特種考試_二等_刑事鑑識人員材料及化學物品鑑析組:有機化學#127790
114年 · #127790
114年 - 114 關務特種考試_三等_化學工程(選試英文):有機化學#126661
114年 · #126661
114年 - 114 關務特種考試_四等_化學工程(選試英文):有機化學概要#126655
114年 · #126655
113年 - 113 調查特種考試_三等_化學鑑識組、醫學鑑識組:有機化學#122084
113年 · #122084
113年 - 113 關務特種考試_三等_化學工程(選試英文):有機化學#119488
113年 · #119488
113年 - 113 關務特種考試_四等_化學工程(選試英文)、化學工程(選試日文):有機化學概要#119484
113年 · #119484