阿摩線上測驗
登入
首頁
>
天氣學
>
103年 - 103年高等三級暨普通考普通_氣象#23939
> 申論題
題組內容
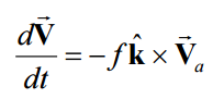
四、已知加速度與非地轉風(Va)之關係向量式如下,試回答下列問題:
㈡試由上式與其含義,說明為何在地轉調整的過程中,氣壓場與風場兩者均必須有 所改變,始能重達平衡?(10分)
相關申論題
一、請試述下列名詞之意涵:(每小題5分,共25分) (一)混合比(mixing ratio )
#30481
(二)假絕熱過程(pseudo-adiabatic process ) (請試述下列名詞之意涵)
#30482
(三)梅雨季(Mei-yu season ) (請試述下列名詞之意涵)
#30483
(四)副熱帶喷射氣流(subtropical jet stream )(請試述下列名詞之意涵)
#30484
(五)自我發展(self-development)(請試述下列名詞之意涵)
#30485
(一)自由對流層(level of free convection, LFC)
#30486
(二)地面對流溫度(convective temperature, Tc )
#30487
(一)試導出其在自然與氣壓座標中之梯度風方程式(gradient wind equation )。( 5分)
#30488
㈡承上小題結果,試依此討論北半球在力平衡之各種高、低壓組合。(10分)
#30489
㈢承上小題,試問北半球綜觀尺度高壓、低壓及超大雷雨胞内之反旋式中尺度氣旋, 各屬於何種組合?(5分)
#30490
相關試卷
114年 - 114 公務升官等考試_薦任_氣象:天氣學(包括天氣分析與天氣預報)#133183
114年 · #133183
114年 - 114 高等考試_三級_氣象:天氣學(包括天氣分析與天氣預報)#128450
114年 · #128450
114年 - 114 普通考試_氣象:天氣學概要(包括基礎天氣分析與基礎大氣動力學)#128408
114年 · #128408
113年 - 113 台灣電力公司_大學及研究所獎學金甄選試題_綠能氣象與再生能源預測:天氣學與氣候學#129318
113年 · #129318
113年 - 113 普通考試_氣象:天氣學概要(包括基礎天氣分析與基礎大氣動力學)#121220
113年 · #121220
113年 - 113 高等考試_三級_氣象:天氣學(包括天氣分析與天氣預報)#121201
113年 · #121201
112年 - 112 公務升官等考試_薦任_氣象:天氣學(包括天氣分析與天氣預報)#117117
112年 · #117117
112年 - 112 高等考試_三級_氣象:天氣學(包括天氣分析與天氣預報)#115403
112年 · #115403
112年 - 112 普通考試_氣象:天氣學概要(包括基礎天氣分析與基礎大氣動力學)#115322
112年 · #115322
112年 - 112 身心障礙特種考試_四等_氣象:天氣學概要(包括基礎天氣分析與基礎大氣動力學)#113791
112年 · #113791