阿摩線上測驗
登入
首頁
>
生物統計學
>
98年 - 98 高等考試_三級_衛生行政、食品衛生檢驗、衛生技術、漁業技術、養殖技術、海洋資源:生物統計學#32659
> 申論題
題組內容
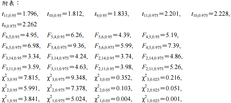
第二至第四題答案請包含:假說、檢定的統計量、臨界值(critical value)、決定法 則(decision rule)、結論。可能使用的參數見附表。
三、台灣大型遠洋延繩釣漁業,過去在印度洋、大西洋和太平洋作業的漁船比例大致為 52%, 24%, 及 24%。在油價飆漲後,在印度洋、大西洋和太平洋作業的漁船有 179, 125, 及 98 艘,請問在三大洋大型遠洋延繩釣的漁船比例是否維持不變。α=0.05 (20 分)
相關申論題
⑴ 80 公分以上的機率為何?(10 分)
#77402
⑵ 70-72 公分的機率為何?(10 分)
#77403
⑴兩組 BMI 變異數是否相同?α=0.05(15 分)
#77404
⑵兩組 BMI 平均數是否相同?α=0.05(15 分)
#77405
(二)請檢定 1 月的雌魚比率是否低於 7 月的雌魚比率(α = 0.05)?(15 分)
#560430
(一)請依表內資料檢定 4 個月份的不同性別魚隻樣本數量比率是否有顯著差異(α = 0.05)?(15 分)
#560429
(二)請依子題(一)檢定結果,再檢定兩艘漁船各自捕獲的所有烏魚個體平均體重是否不同(α = 0.05)。 (15 分)
#560428
(一)請檢定甲、乙兩艘漁船的魚隻體重變異數是否有顯著差異(α = 0.05) 。(10 分)
#560427
(二)養殖業者宣稱池中石斑魚的平均體重應該是 6 公斤,請由前述石斑魚樣本的平均體重及標準差以假設檢定方式檢定其說法是否屬實 (α = 0.05) 。(15 分)
#560426
(一)請估計養殖池中石斑魚平均體重的 95%信賴區間。 (10 分)
#560425
相關試卷
114年 - 114 地方政府公務特種考試_三等_漁業技術、養殖技術:生物統計學#134697
114年 · #134697
114年 - 114 公務升官等考試_薦任_衛生行政、衛生技術、衛生檢驗:生物統計學#133168
114年 · #133168
114年 - 114 高等考試_二級_衛生技術:生物統計學#131591
114年 · #131591
114年 - 114 高等考試_三級_漁業技術、養殖技術:生物統計學#128542
114年 · #128542
113年 - 113 地方政府公務特種考試_三等_漁業技術、養殖技術:生物統計學#124534
113年 · #124534
113年 - 113 高等考試_三級_漁業技術、養殖技術:生物統計學#121490
113年 · #121490
112年 - 112 地方政府特種考試_三等_衛生行政、養殖技術、食品衛生檢驗:生物統計學#118234
112年 · #118234
112年 - 112 公務升官等考試_薦任_衛生行政、衛生技術:生物統計學#117264
112年 · #117264
112年 - 112 高等考試_三級_衛生行政、漁業技術、養殖技術、食品衛生檢驗:生物統計學#115607
112年 · #115607
112年 - 112 高等考試_三級_衛生技術:生物統計學(含流行病學)#115497
112年 · #115497