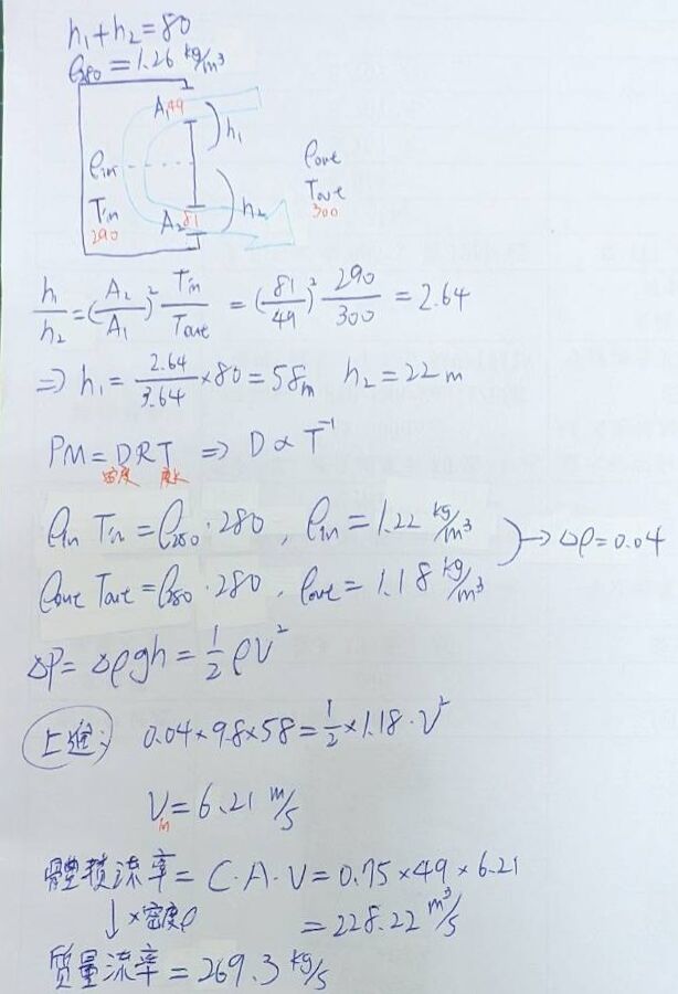
二、有一高層建築物內部設有高度 80 公尺之中庭,中庭頂部與底部具有可 供空氣流動的開口,分別為 49 與 81 平方公尺。當室內溫度與戶外溫度 分別為 17℃與 27℃時,試問在穩態下,空氣流動的質量為何?請繪圖說 明氣流流動方向?(已知:開口部開口係數為 0.75;空氣在 7℃時密度為 1.26 公斤/立方公尺)(25 分)
詳解 (共 2 筆)
已.斬邦延(114設備師上榜)
詳解 #6289538
出自"聖經"第五章的例題改數字
連數字特色都保留下來,面積出了兩個平方數,但實際沒有要你開根號
ㅤㅤ

ㅤㅤ
宗儒
詳解 #6455639

