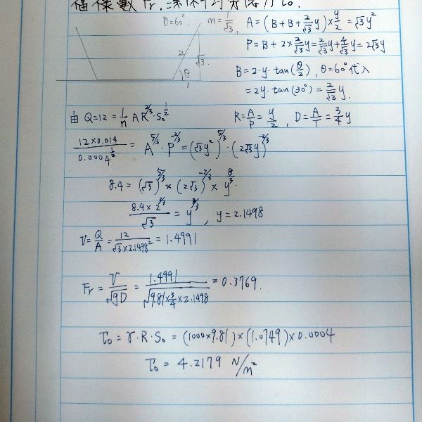
二、試按照均勻流及最佳水力斷面理論設計一條對稱梯形斷面渠道,如圖 2 所示,渠道邊坡係數
,曼寧糙度係數 n = 0.014,渠床坡降 S0 = 0.0004。當設計流量 Q = 12 cms 時,試求此渠底寬度 B、正常水深 (Normal depth)y0,及其對應之水力半徑(Hydraulic radius)R0、水流福 祿數(Froude number)Fr、渠床平均剪應力(Shear stress)τ0。(25 分)
詳解 (共 1 筆)
詳解
