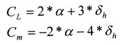
五、 假設升力係數
及俯仰力矩係數
可以下列式子表示,式中之 α 為攻角,δh 為水平尾角度。設定飛機之重量為 24010 lbf,飛行速度為 350 ft/sec,空氣密度 0.00098 slug/ft³,機翼面積為 200 ft²,平均氣動力弦 (mean aerodynamic chord) 為 30 ft,假設攻角很小,即 L ≈ N (L 為升力而 N 為 normal force),數學式中的角度單位為度 (deg)。試算出飛機達水平配平穩定飛行 (trim flight) 時的攻角及水平尾角度為何?水平尾往上或往下? 