沒有 【段考】國二數學上學期 權限,請先開通.
詳解 (共 2 筆)
紅豆薏仁
詳解 #4289848
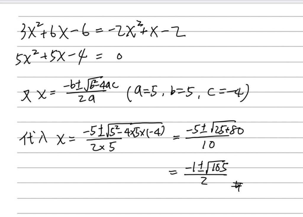
公式解,如圖


Gigi
詳解 #4741616