阿摩線上測驗
登入
首頁
>
研究所、轉學考(插大)-微積分
>
106年 - 106 國立臺北大學學士班暨進修學士班轉學生招生考試_統計學系二、三年級:微積分#116786
> 申論題
題組內容
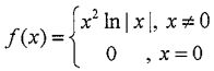
1. Let
(a) (7%) Find
.
相關申論題
(b) (5%) Is f continuous at 0 ? Explain your answer as well.
#499016
(c) (8%) Is f differentiable at 0 ? Explain your answer as well.
#499017
(a) (7%) Find the Taylaor Series for f(x) centered at 1.
#499018
(b) (8%) Find the interval of convergence of the power series in (a).
#499019
(c) (5%) Find the value of the infinite series.
#499020
(d) (5%) Approximate In(1.1) by the 4th Taylaor Polynomial for f centered at 1.
#499021
(a) (6%)
#499022
(b)(6%)
#499023
(c)(8%)
#499024
(a) (5%) Find the equation of C.
#499025
相關試卷
115年 - 115 中央警察大學_碩士班入學考試試題_消防科學研究所、交通管理研究所:微積分#139760
115年 · #139760
114年 - 114 臺灣綜合大學系統_學士班轉學生考試試題:微積分A#137897
114年 · #137897
114年 - 114 臺灣綜合大學系統_學士班轉學生考試試題:微積分B#137819
114年 · #137819
114年 - 114 台灣聯合大學系統_學士班轉學生考試試題:微積分#137762
114年 · #137762
114年 - 114 台灣聯合大學系統_學士班轉學生考試試題:微積分#137761
114年 · #137761
114年 - 114 國立臺灣大學_轉學生招生考試_物理學系/土木工程學系/生物環境系統工程學系/生物機電工程學系:微積分(B)#137745
114年 · #137745
114年 - 114 國立臺灣大學_轉學生招生考試_數學系:微積分(A)#137744
114年 · #137744
113年 - 113 國立嘉義大學_轉學生招生考試試題_(全校):微積分#122986
113年 · #122986
112年 - 112 國立臺灣大學_碩士班招生考試題:微積分(D)#130254
112年 · #130254
112年 - 112 國立陽明交通大學_碩士班入學招生試題_統計學研究所﹕微積分與線性代數#130252
112年 · #130252