阿摩線上測驗
登入
首頁
>
高考◆大氣動力學
>
104年 - 104年升官等、104年關務人員升官等、104年交通事業公路人員升資、104年交通事業港務人員升資考公務薦任_氣象#39739
> 申論題
申論題
試卷:104年 - 104年升官等、104年關務人員升官等、104年交通事業公路人員升資、104年交通事業港務人員升資考公務薦任_氣象#39739
科目:高考◆大氣動力學
年份:104年
排序:0
申論題資訊
試卷:
104年 - 104年升官等、104年關務人員升官等、104年交通事業公路人員升資、104年交通事業港務人員升資考公務薦任_氣象#39739
科目:
高考◆大氣動力學
年份:
104年
排序:
0
題組內容
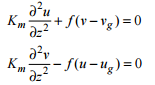
四、傳統艾克曼層(Ekman layer)之控制方程可寫為:
其中 K
m
為混和長度假設下定義之渦流黏滯係數(eddy viscosity) u
g
和 v
g
分別為緯 , 向和經向地轉風。
申論題內容
⑵再利用艾克曼螺旋解推導出艾克曼抽吸(Ekman pumping),並討論之。 (10 分)