阿摩線上測驗
登入
首頁
>
高考◆大氣動力學
>
101年 - 101年高等三級暨普通考高考三級_氣象#40044
> 申論題
題組內容
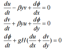
六、赤道 β -平面線性淺水方程式可寫成為:
其中 u , v 分別為 x 向和 y 向風速, φ = gh 為擾動重力位場、 H 及 h 分別代表平均及擾 動厚度, β = df / dy 代表科氏參數隨緯度變化趨勢。(每小題 5 分,共 15 分)
⑵寫出擾動重力位在 y 方向之函數關係。
相關申論題
⑶畫出 Kelvin 波之空間結構。
#121808
七、何謂大氣可預報度?影響大氣可預報度的因素有那些?中緯度綜觀尺度擾動可預報 期限大約多長?(10 分)
#121809
⑴解釋角動量方程式等號右邊兩項之物理意義。(10 分)
#121810
⑵利用角動量守恆,解釋為何緯向平均大氣環流不可能為單胞環流? (5 分)
#121811
一、何謂「宏觀鑑定模式」?請比較此模式與謝倫伯格的「雙重鑑定論」,並說明其優 缺點。(25 分)
#121812
二、檔案庫房為檔案館中安全及環境控制需求最為嚴格的空間。請說明檔案庫房在規劃 設計時,其建築設計的原則以及需要考量的項目為何?(25 分)
#121813
三、請說明你對於檔案管理人員知能認證機制之看法。(25 分)
#121814
四、根據我國檔案管理局之「國家檔案徵集計畫」,請說明國家檔案徵集審選原則與基 準為何?(25 分)
#121815
一、紀錄片製作者的專業倫理在近年來成為備受世界各地紀錄片創作者與學者重視的一 項議題,在臺灣也不例外。例如 2007 年發生的「水蜜桃阿嬤爭議事件」即引起許 多關於該片製作倫理問題的討論。請詳細說明紀錄片創作者在製作紀錄片時,應遵 守那些專業倫理準則?(20 分)
#121816
二、請說明旁白(narration 或 voice over)在紀錄片中具有什麼功能?紀錄片使用旁白應 注意那些事?(30 分)
#121817
相關試卷
114年 - 114 公務升官等考試_薦任_氣象:大氣動力學#133182
114年 · #133182
114年 - 114 高等考試_三級_氣象:大氣動力學#128403
114年 · #128403
113年 - 113 高等考試_三級_氣象:大氣動力學#121506
113年 · #121506
112年 - 112 公務升官等考試_薦任_氣象:大氣動力學#117306
112年 · #117306
112年 - 112 高等考試_三級_氣象:大氣動力學#115412
112年 · #115412
111年 - 111 高等考試_二級_氣象:高等大氣動力學#110948
111年 · #110948
111年 - 111 高等考試_三級_氣象:大氣動力學#109426
111年 · #109426
110年 - 110 公務升官等考試_薦任_氣象:大氣動力學#103685
110年 · #103685
110年 - 110 高等考試_三級_氣象:大氣動力學#102397
110年 · #102397
109年 - 109 高等考試_三級_氣象:大氣動力學#88749
109年 · #88749