阿摩線上測驗
登入
首頁
>
營建管理與工程材料
>
105年 - 105 高等考試_三級_土木工程、水利工程:營建管理與工程材料#54373
> 申論題
申論題
試卷:105年 - 105 高等考試_三級_土木工程、水利工程:營建管理與工程材料#54373
科目:營建管理與工程材料
年份:105年
排序:0
申論題資訊
試卷:
105年 - 105 高等考試_三級_土木工程、水利工程:營建管理與工程材料#54373
科目:
營建管理與工程材料
年份:
105年
排序:
0
題組內容
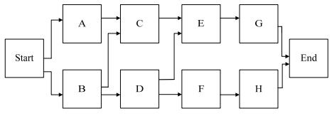
四、進度管理為專案管理之關鍵項目之一,請依據進度管理之理論與實務,逐一計算與 回答下列問題:
申論題內容
⑵該工程因受風險因子影響,故擬以計畫評核術( Program Evaluation Review Technique, PERT)評估該工程專案之進度。設作業需時最樂觀估計:a,最可能估 計:m,最悲觀估計:b,並以序列 (a, m, b)表示。則 A 為(3, 7, 11) 為 ,B (2, 5, 8) , C 為(3, 5, 7) 為(4, 6, 8) 為(9, 9, 9) 為(4, 5, 6) 為(4, 8, 12) ,D ,E ,F ,G , H 為(5, 7, 9) 。請計算該工程專案之期望工期與標準偏差。 (12 分)