題組內容
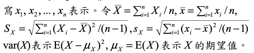
一、定義下列各名詞代表的是「事件」 、 「隨機變數」 、 「實數」或「無特殊意 義」 。令 X 1 , X 2 , ... , X n 表示抽樣前的獨立資料。相對的抽樣後的資料以小
(每小題 4 分,共 20 分)
⑵
一、定義下列各名詞代表的是「事件」 、 「隨機變數」 、 「實數」或「無特殊意 義」 。令 X 1 , X 2 , ... , X n 表示抽樣前的獨立資料。相對的抽樣後的資料以小
(每小題 4 分,共 20 分)
⑵