阿摩線上測驗
登入
首頁
>
公職◆資料庫應用
>
98年 - 098年升官等薦任資料庫應用#48283
> 申論題
題組內容
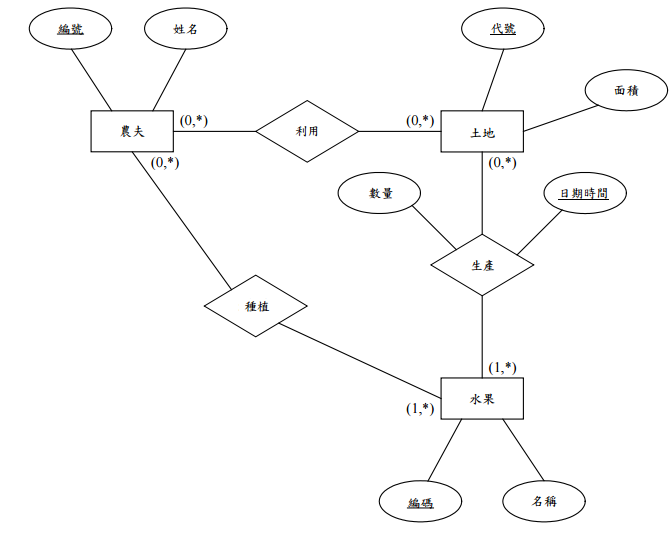
四、下圖是個實體關係圖(Entity-Relationship Diagram),對所用符號的約略說明:其中每一 實體(矩形)鄰近某關係(菱形)間均有一對 (min,max) 的限制,代表該實體參與該關 係之 min(至少)、max(至多)次數限制,*代表沒有限制。屬性劃實底線者為 Primary Key(主鍵)的一部分。 ⑴請先將其轉為關連資料庫(Relational Database)之表格
⑶請重繪實體關係圖。要求:1.不得使用高於二元關係(Binary Relationship)之三元或多 元關係。2.所繪之圖應是最精簡的,沒有多餘、不必要的實體、關係、屬性。(10 分) 代號 編號 姓名 代號 面積 (0,*) 利用 (0,*) 農夫 利用 土地 (0,*) (0,*) 數量 數量 日期時間 日期時間 生產 生產 種植 種植 (1,*) 水果 (1,*) 編碼 名稱
相關申論題
⑴計算現值指數(present value index)(四捨五入至小數點後第四位)。(5 分)
#168016
⑵計算淨現值(net present value)。(5 分)
#168017
⑴請問浦惠應接受本訂單嗎?接受本訂單淨營業利益有何差別?(10 分)
#168018
⑵如果浦惠估計本月份除此訂單外,已有 8,000 單位需銷售及供應給客戶,在此一 情形下浦惠是否仍應接受此一訂單?如果浦惠一定要接此訂單,則每單位價格最 少應為何?(10 分)
#168019
三、甲公司生產 A 與 B 二種產品,分別由 A 部門與 B 部門製造,二個部門均需 C 部門 提供生產過程品質監測服務。B 產品之製造則需依序經由 X、Y、Z 三個生產線, 才能製造完成。甲公司採用加權平均法,X8 年有關生產資料如下:每單位 A 產品售價為$10,銷售費用為售價之 10%;B 產品售價為$6,銷售費用為 售價之 20%。生產過程中皆會有耗損情形發生。X8 年 C 部門發生成本$403,808。 試作:(20 分) 假設皆無期初存貨 ,甲公司採預估淨變現價值法進行 C 部門成本分攤 ,則 X8 年 A、 B 部門各應分攤多少 C 部門成本?
#168020
⑴如果公司之正常損壞率一般為完好單位之 5%,請問本月份損壞單位中有多少正 常損壞?多少非常損壞?
#168021
⑵如果本月份之損壞品全部為正常損壞,新新實業採用先進先出法計算平均單位成 本,請分別計算直接材料與加工成本之約當數量。
#168022
⑶如果本月份之損壞品全部為正常損壞,新新實業採用平均法計算平均單位成本, 請分別計算直接材料與加工成本之約當數量。
#168023
⑴直接材料成本今年度預計增加 5%,薪資會提高 4%。
#168024
⑵廠房租金為按月租用可以隨時解約,但設備係因特殊設備,解約需支付年租金 20%之解約金。
#168025
相關試卷
115年 - 115 身心障礙特種考試_三等_資訊處理:資料庫應用#138965
115年 · #138965
115年 - 115 關務特種考試_三等_資訊處理(選試英文):資料庫應用#138921
115年 · #138921
114年 - 114 地方政府公務特種考試_三等_資訊處理:資料庫應用#134773
114年 · #134773
114年 - 114 公務升官等考試_薦任_資訊處理:資料庫應用#133256
114年 · #133256
114年 - 114 調查特種考試_三等_資訊科學組:資料庫應用#129582
114年 · #129582
114年 - 114 高等考試_三級_資訊處理:資料庫應用#128766
114年 · #128766
114年 - 114 一般警察特種考試_三等_警察資訊管理人員:資料庫應用#127794
114年 · #127794
114年 - 114 國家安全情報特種考試_三等_資訊組(選試英文):資料庫應用#127703
114年 · #127703
114年 - 114 關務特種考試_三等_資訊處理(選試英文):資料庫應用#126587
114年 · #126587
114年 - 114 身心障礙特種考試_三等_資訊處理:資料庫應用#126586
114年 · #126586