阿摩線上測驗
登入
首頁
>
公職◆資料結構
>
97年 - 097年高等三級暨普通高3資料結構#49231
> 申論題
題組內容
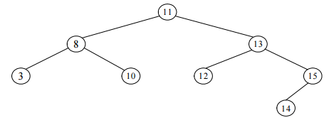
二、有一個二元搜尋樹(Binary Search Tree)T 如下:
⑶ 設各鍵值的機率如上述第⑵ 小題,是否能將此搜尋樹重新安排以獲得較佳的平均 比較次數?請說明原因或理由。(10 分)
相關申論題
⑴ *intPtr2 = intArray[1][1];
#173004
⑵ intPtr1 + 1 = intArray[0];
#173005
⑶ ++intPtr = &intArray[1];
#173006
⑷ *(*intPtr + 1) = intArray[1][0];
#173007
⑸ *(*intPtr3 + 1) = intArray[2][1];
#173008
⑴ 若欲搜尋的鍵值(Key)平均分布在 1 到 100 之間,請算出該值於搜尋樹中平均 要比較幾次。(5 分)
#173009
⑵ 設鍵值 K=2 時,其機率為 0.5,K=5 時其機率為 0.3,K=9 時其機率為 0.103, 其餘 97 個數機率均為 0.001,請算出該值於搜尋樹中要比較幾次。(10 分)
#173010
⑴ 請說明何謂擴張樹(Spanning Tree)。
#173012
⑵ 請說明何謂雙連通圖(Biconnected Graph)。
#173013
⑶ 請說明何謂二分圖(Bipartite Graph)。
#173014
相關試卷
115年 - 115 關務特種考試_三等_資訊處理(選試英文):資料結構#138980
115年 · #138980
115年 - 115 身心障礙特種考試_三等_資訊處理:資料結構#138979
115年 · #138979
114年 - 114 地方政府公務特種考試_三等_資訊處理:資料結構#134706
114年 · #134706
114年 - 114 公務升官等考試_薦任_資訊處理:資料結構#133251
114年 · #133251
114年 - 114 高等考試_三級_資訊處理:資料結構#128753
114年 · #128753
114年 - 114 關務特種考試_三等_資訊處理(選試英文):資料結構#126563
114年 · #126563
114年 - 114 身心障礙特種考試_三等_資訊處理:資料結構#126562
114年 · #126562
113年 - 113 地方政府公務、離島地區公務特種考試_三等_資訊處理:資料結構#124511
113年 · #124511
113年 - 113 高等考試_三級_資訊處理:資料結構#121217
113年 · #121217
113年 - 113 關務特種考試_三等_資訊處理(選試英文):資料結構#119489
113年 · #119489