阿摩線上測驗
登入
首頁
>
高考◆大氣動力學
>
97年 - 097年高等三級暨普通高3_氣象#40311
> 申論題
題組內容
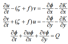
二、考慮 f 面淺水方程式,Q 為質量源或匯(source/sink),質量匯 Q 可以代表熱帶對 流效應,K 為單位質量動能((u
2
+ v
2
)/2)。(20 分)
⑶ 線性方程式與非線性方程式中 Q 項產生位渦過程有何不同?
相關申論題
⑴ 若大氣靜力平衡且未飽和(dws = 0),導出乾絕熱降溫率。下沈乾空氣每公里氣 塊上升多少度?
#123497
⑵ 若大氣靜力平衡且飽和,而且簡化 ws = ws(T )是溫度函數,導出濕絕熱降溫率, 和乾絕熱降溫率進行比較。
#123498
⑵ 請推導非線性化位渦(nonlinear potential vorticity)方程式。
#123501
⑷ 請解釋為何颱風在赤道附近無法形成?為何颱風形成需要先有相當的渦度存在?為 何颱風生成是一非線性過程?
#123503
⑴ 討論梯度風平衡方程式各項意義,並以此方程式討論地轉風平衡、旋轉風平衡 (Cyclostrophic flow)以及慣性運動(Inertial flow),並繪製對應的力平衡圖。
#123504
⑵ 以此方程式討論正常與異常的高、低壓,並繪製此四種對應的力平衡圖。
#123505
⑴ 試討論各項的意義。又,典型大氣 K 值為何?
#123506
⑵ 若等壓線和 x 方向平行,畫出邊界層螺旋狀的風場(Ekman spiral),畫出邊界層 對應的 Kd2V/dz2 螺旋狀分佈。
#123507
⑷ 試問沿赤道的海洋吹西風或東風時,何種情況會產生湧昇流(upwelling)?為什 麼?
#123509
五、試解釋羅士比變形半徑,並討論 f 面地轉調節風場、質量場的變化。斜壓大氣那些 變數和質量場相關?為何熱帶地區溫度梯度很小?試以地轉調節討論颱風附近的探 空資料是否會影響模式的預報。(15 分)
#123510
相關試卷
114年 - 114 公務升官等考試_薦任_氣象:大氣動力學#133182
114年 · #133182
114年 - 114 高等考試_三級_氣象:大氣動力學#128403
114年 · #128403
113年 - 113 高等考試_三級_氣象:大氣動力學#121506
113年 · #121506
112年 - 112 公務升官等考試_薦任_氣象:大氣動力學#117306
112年 · #117306
112年 - 112 高等考試_三級_氣象:大氣動力學#115412
112年 · #115412
111年 - 111 高等考試_二級_氣象:高等大氣動力學#110948
111年 · #110948
111年 - 111 高等考試_三級_氣象:大氣動力學#109426
111年 · #109426
110年 - 110 公務升官等考試_薦任_氣象:大氣動力學#103685
110年 · #103685
110年 - 110 高等考試_三級_氣象:大氣動力學#102397
110年 · #102397
109年 - 109 高等考試_三級_氣象:大氣動力學#88749
109年 · #88749