題組內容
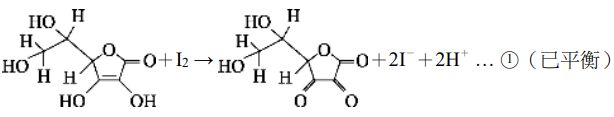
32. 維生素 C 又稱為抗壞血酸(ascorbic acid,C6H8O6,分子量=176),是個很 好的還原劑(reducing agent),它可以將 Fe(III)還原成為 Fe(II),或將 I2 還原成 I -。因此,我們先準備一錠維生素 C 藥錠,稱其重量為 500 毫克,將之 研磨成粉末,配成 A 溶液50 毫升,另取一錐形瓶加入 0.5 克 KI、A 溶液 25 毫升及 0.1 M H2SO4(aq) 5 毫升,再滴入 2 滴2% 澱粉指示劑於錐形瓶 中,以 0.010 M KIO3 溶液進行滴定,則 KIO3 在酸性溶液中先與碘化鉀反 應產生 I2;I2 再與溶液中抗壞血酸很快地進行氧化還原反應,如式①
當到達滴定終點,溶液變成深藍色時,由滴定管得知 KIO3 消耗 20 毫升, (原子量:K=39,I=127,O=16) 回答下列問題:
1.寫出 KIO3 與 KI 在酸性溶液中反應生成 I2 之淨離子化學方程式。(2%)
詳解 (共 1 筆)
一起撐住一起上榜
詳解 #6566962