所屬科目:教甄◆化學專業/化工科
1. [MA2B2C2]為一個八面體(octahedral)錯化合物。M 為中心金屬,A、B、 C 為配位子。此錯合物共有幾個幾何異構物?(A)2 (B)3(C)4 (D)5 (E)6。
2. 各取 0.1 莫耳之(甲) NaNO3、(乙) C6H12O6、(丙) HgCl2、(丁)Fe(OH)3、(戊) Na2O 等固體,分別溶於水形成總體積 100 mL 的水溶液。(假設:強電解質在水中完全解離)則:五種溶液之滲透壓由大至小的順序為(A)戊>丁>甲>丙>乙 (B)甲>丙>戊>丁>乙 (C)戊>丙>丁>乙>甲 (D)丁>戊>丙>甲>乙 (E)戊>丙>甲>乙>丁。
3. 將甲容器中的氦氣和甲烷混合氣體經由針孔逸散至一個真空的乙容器中。 經一段時間後,若乙容器中之氦氣和甲烷的分壓相同,則氦氣在原甲容器中所占的比例為多少?(H = 1.0、He = 4.0、C = 12) (A)1⁄4 (B) 1⁄3 (C) 1⁄2 (D) 2⁄3 (E) 3⁄4。
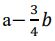
4. 某密閉容器具有可上下移動之活塞,今在此容器充入 a 升某氣體再加入定 量水後,因部分氣體溶入水中,氣體體積變為 b 升,此時液面上平衡壓力 為 1atm,則需將活塞壓縮至體積為若干升時,液面上之平衡壓力變為 4atm? (A)b (B) a-b (C) (D)a (E) a。
5. 下列分子哪個有最小的 F-S-F 鍵角? (A) SF2 (B) SF4 (C) SF6 (D) SOF2(E) SO2F2。
6. 假設硫酸銅在 30 oC 時溶解度為 25,今在 30℃時,使硫酸銅飽和溶液蒸發至乾,析出 CuSO4・5 H2O 約 25.0 克,請問共蒸發掉多少克的水? (A)100 (B) 75 (C) 55 (D) 48 (E) 64。
7. 若已知氫原子的游離能為 13.6 eV,則 He+的游離能為若干 eV?(A)3.4 (B)6.8 (C)27.2 (D)54.4 (E)81.6 eV。
8. 指出化合物 X 何者符合可進行下列方程式且僅得到單一的 E2 產物? (A) 2-溴基-2,4-二甲基戊烷 (B)3-溴基-2,4-二甲基戊烷 (C)2,3-二溴基-2,4-二甲基戊烷 (D)1-溴基-2,4-二甲基戊烷 (E) 4-溴基-2,4-二甲基戊烷。
9. 多肽可由胺基酸脫水縮合而形成,已知某多肽分子式是 C55H70O19N10,將此多肽徹底水解後只得到下列四種胺基酸,下列相關敘述,何者錯誤?(A)甘胺酸分子式為 C2H5NO2(B)此多肽含有 9 個肽鍵(C)該多肽徹底水解後,可得 2 個甘胺酸(D)該多肽徹底水解後,可得 4 個麩胺酸(E)該多肽徹底水解後,可得 3 個苯丙胺酸。
10. 一密閉器內裝有乙炔及氧的混合物。乙炔的分壓為 100mmHg 而氧的分壓為 500mmHg,溫度為 27℃。當通電完全燃燒後,溫度昇到 627℃。假設密閉器容積不變,27℃水的飽和蒸氣壓為 27mmHg,CO2對水之溶解度忽略 不計。下列有關燃燒後氣體的敘述,何者正確? (A) 在 627℃時,總壓為 550mmHg (B) 該氣體只含二氧化碳及水蒸氣 (C) 在 627℃時,二氧化碳分壓為 500mHg (D) 冷卻至 27℃時,總壓為 477mmHg (E) 冷卻至 27℃時,總壓為 550mmHg。
11. 聚苯乙烯經酸化再用鹼中和處理後生成之樹脂可用以軟化家庭用水。苯乙烯之結構式為 CH2=CH(C6H5),聚苯乙烯之結構式為 。磺酸化的 作用是將苯基 (C6H5-)轉換成苯磺酸基(-C6H4SO3H)。假設某聚苯乙烯中 有三分之一被磺酸化(生成 A 樹脂),再將 A 樹脂的苯磺酸基以 NaOH 中和 可得合成的有機樹脂 B,此有機樹脂 B 即磺酸鈉聚苯乙烯為軟化硬水的陽 離子交換劑,假設每 414.1 克的磺酸鈉聚苯乙烯含有 1 莫耳之苯磺酸鈉,每個鈣離子與上述樹脂中兩個苯磺酸根結合,欲一次將 1000 升含 40.1ppm 鈣離子之硬水軟化,最少需若干的上述樹脂? (A)414.1 毫克 (B) 82.8 克 (C) 414.1 克 (D) 828.2 克 (E) 828.2 毫克。
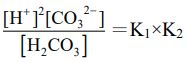
12. 有關 0.10 M H2CO3(aq)達平衡時,下列敘述何者不正確?(已知水的離子積常數為 Kw,H2CO3的第一解離常數為 K1,第二解離常數為 K2)(A) [H2CO3] + [HCO3-] + [CO32−] =0.10 M(B)[OH-] + [HCO3-] +2 [CO32−] =[H+](C)(D) (E) 。
13. 八種中性原子的電子組態:甲、1s22s22p63s1 乙、1s22s22p63s2 丙、1s22s22p63s23p1丁、1s22s22p63s23p2 戊、1s22s22p63s23p3 己、1s22s22p63s23p4庚、1s22s22p63s23p5 辛、1s22s22p63s23p6,關於以上八種中性原子的比較,下列何者正確?(A) 上列元素沸點的比較:丁>丙>乙>甲>己>戊>庚>辛(B) 上列元素熔點的比較:丁>丙>乙>甲>己>戊>庚>辛(C) 上列元素的活性:甲>乙>丙>丁>戊>己>庚>辛(D) 上列元素的原子半徑比較:辛>庚>己>戊>丁>丙>乙>甲(E) 上列元素的離子半徑比較:辛>庚>己>戊>丁>丙>乙>甲。
14. 24℃時 Mg(OH)2 的 Ksp 為 k1,Ca(OH)2 的 Ksp為 k2,現將此二氫氧化物同時溶入純水,配成飽和溶液(水的電離可忽略不計),則溶液中的 pH 值可以下列何式表示:(A) log(2k1+2k2) (B) 14+log(2k1+2k2)(C) (D) (E)。
15. 工業上利用奧士華法製備硝酸,是由威廉·奧士華發現的一個用於生產硝酸的化學方法,並在 1902 年獲得專利。這個過程是現代化學工業的重要支柱之一。從歷史角度和實踐角度來說,它和哈柏法有著很近的聯繫,後者提供此反應所需要的原料-氨氣。奧士華法製備硝酸須循序經過下列反應:(N=14、H=1、O=16)(1) N2(g)+3 H2(g) ⎯→2 NH3(g)(2) 4 NH3(g)+5 O2(g) ⎯→4 NO(g)+6 H2O(l)(3) 2 NO(g)+O2(g) ⎯→2 NO2(g)(4) 3 NO2(g)+ H2O(l)(熱) ⎯→2 HNO3(aq) +NO(g)假設每一步驟反應的產率均為 100%,試問 1 莫耳的氮氣能產出若干的克純硝酸?(A) 126 (B) 63 (C) 31.5 (D) 1 (E) 2 克。
16. 紫杉醇(paclitaxel)是一種用來治療多種癌症的化療藥物,可治療的癌症包含卵巢癌、乳癌、肺癌、卡波西氏肉瘤、子宮頸癌和胰臟癌。其結構如下圖所示,其分子式為 C47HxNOy,則下列敘述何者正確?(A)x=41 (B) y=14 (C)結構中具有酯基 (D)結構中具有胺基(E)結構中具有羧基。
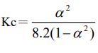
17. 使用碘酸根離子與亞硫酸氫根離子進行秒錶反應,以求反應速率時,實驗步驟如下:Step 1:稱取 2.0 克的可溶性澱粉,以配製 500 mL 的澱粉溶液備用。Step 2:稱取 Na2S2O5(s) 0.57 克,溶於 100 mL 的水中後,倒入步驟 1 所 配製的澱粉溶液中,並且加入 5.0 mL 的 1.0 M 硫酸溶液,攪拌均勻,然 後加水配製成 1 L 的溶液 A。Step 3:稱取 X 克 KIO3(s),然後加水配製成 1 L 的溶液 B。Step 4:取 A 溶液 10.0 mL,放入 A 試管中;另取 B 溶液 10.0 mL,放入 B試管中。Step 5:將 A 和 B 兩試管的溶液,同時倒入 100 mL 燒杯,並迅速搖動溶液使其瞬間混合均勻,經過 10 秒後,溶液瞬間變為藍色,且顏色不再變化。假設體積有加成性,則下列敘述何者正確?(Na=23、S=32、O=16、H=1、 K=39、I=127)(A) Step 2 的溶液中含有 HSO3 - 0.003 莫耳(B)產生 I2 的反應為本實驗的瓶頸反應(C)溶液要呈現藍色 X 至少要取 KIO3 0.428 克(D) HSO3-在 Step 5 中溶液混合後的消失速率為 3×10-4 M/s(E) KIO3 的濃度會隨時間呈等差級數遞減。
18. 在 25℃ 時,X 溶液為 0.01M 的 H3PO4(aq),Y 溶液為 pH=12 的 NaOH(aq),假設溶液混合時體積具有加成性,則下列選項哪些正確?(已知磷酸的三個解離常數依次為 Ka1 = 7.1 × 10-3,Ka2 = 6.3 × 10-8,Ka3 = 4.4 ×10-13)(A)取 X 溶液加水稀釋成體積 103 倍後,溶液的 pH 值=5(B)取 Y 溶液加水稀釋成體積 106 倍後,溶液的 pH 值=6(C)將 X、Y 兩者等體積混合時,溶液的 pH 值在 4~5 之間(D)將兩者以體積比 X:Y=1:3 混合時,溶液的 pH 值在 6~7 之間(E)將兩者以體積比 X:Y=2:3 混合時,溶液的 pH 值在 7~8 之間。
19. 下列有關胺基酸的敘述,哪些正確?(A)某一胺基酸用鹼溶液進行酸鹼中和滴定時,發現 pKa1 = 2.34、pKa2 =9.60,則其等電點(pI: isoelectric point)為 6.97(B)將胺基酸的水溶液置於電場中時,如果 pH < pI 時,則水溶液中的胺基酸以呈現帶負電荷的形式存在,並且向正極的方向移動(C)將胺基酸的水溶液至於電場中時,且當 pH = pI 時,則胺基酸的正、負電荷達到平衡而不會移動(D) NH3 和 H2C=CHCOO-反應後用濃酸水溶液處理後可產生 +H3NCH2CH2COOH(E) +H3NCH2CH2COO-和 SOCl2 反應後可產生+H3NCH2CH2COCl。
20. 已知下列半反應之 E°值:用 Cu 為陰極,Ag 為陽極,電解 1M NaI(aq),下列敘述哪些正確?(A)直流電源的正極接 Cu 極(B)所需直流電源電壓至少 0.56 V(C)陽極析出 O2(D)若通電 0.1F,負極生成氫氣 0.05 莫耳(E)若改用 Pt 作為兩極進行電解,則陰極產物不變、陽極溶液漸呈棕色。
21. 某無色氣體 X,可能含有 CO2、SO2、HCl、HBr 中的一種或數種。將 X 通過適量的氯水時,X 恰好完全反應,沒有任何氣體剩餘。將所得的無色溶 液分裝於兩支試管後,分別加入酸化的 AgNO3 與 BaCl2 溶液(所謂酸化係指在 AgNO3 與 BaCl2 溶液中,加 H+使其變成酸性溶液),結果均產生白色 沉澱。由此推論下列敘述哪些正確?(A) X 中一定沒有 CO2(B) X 中一定有 SO2(C) X 中一定沒有 HBr(D) X 中一定有 HCl(E)產生的沉澱是 AgCl 與 BaSO4。
22. 下圖為氫原子光譜之部分光譜,已知 b 譜線的波長為 540 nm。試問下列哪些敘述正確?(A)第 I 區是可見光區,第 II 區是紅外光區(B)a~f 譜線的頻率大小順序是 a < b < c < d < e < f(C)e 譜線與 d 譜線的能量差等同於 a 譜線的能量(D)f 譜線躍遷是從 n = 4 降落至 n = 2(E) 巴耳末系列第三條譜線是從 n = 5 降落至 n = 2。
23. 欲將比重 1.84、濃度 98%硫酸溶液,稀釋成比重 1.50、濃度 6.0M 的稀硫酸 1L,下列敘述哪些正確?(A) 原硫酸溶液的濃度為 18.4M(B) 稀釋前應吸取原硫酸溶液 326 mL(C) 稀釋前應吸取原硫酸溶液 588g(D) 吸取原硫酸溶液後,應加入 674 mL 蒸餾水(E) 稀釋過程中溶液會放熱。
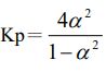
24. 127℃,l atm時,N2O42 NO2之平衡系中,N2O4之分解百分率為α,平衡混合氣體之平均分子量為M,則下列相關的敘述,哪些正確? (A)(B)(C)(D)(E)。
25. 將某不溶於水的固體 x 克與 KCl 固體 y 克混合加入 w 克水,使混合固體充分溶解。當 20 ℃達飽和時,還有 47.2 克的固體殘留;加熱至 40℃時,有 41.0 克的固體殘留;加熱至 80℃時,仍有 31.2 克的固體殘留。附表為 KCl 對水的溶解度:關於以上之相關敘述,下列哪些正確?(A) w=100 (B) y=67 (C) x=31.2(D) 欲將 KCl 全部溶解,最低需將溫度調於 70℃至 80℃(E) 加熱至 100℃時,仍有 29.1 克的固體殘留。
26. 請利用下列之鍵能,估算乙炔(acetylene)之莫耳燃燒熱為________千焦耳。(2%)
27. 某一級反應在第 35 分鐘時反應完成了 45%,其半生期為______分 (2%)(log4.5=0.65、log5.5=0.74)
28. 某金屬呈體心立方排列,晶體密度 d 克⁄立方公分,原子半徑 r Å,則此金屬原子量為______ (NA:亞佛加厥常數)(2%)
29. 已知 MgF2 之 Ksp=7.1×10-9、HF 的 Ka=2.2×10-4。試求出 MgF2 在 pH=2 之緩衝溶液中之溶解度為若干 M? (2%)
30. 有三種未知物 P、Q、R,其分子式均為 C4H8O。以下是 P、Q、R 的特 性:P 能使溴退色,當用金屬鈉處理時並未觀察到氫氣的釋放,且 P 可被 水解,放出含乙醇之產物。Q 可以被還原成醇類,產物的分子式為 C4H10O。而 Q 亦可由此醇類產物,經 K2Cr2O7 的酸性水溶液氧化而得到, 但當 Q 與多侖試劑混合,並不引銀鏡反應。R 與溴、金屬鈉、多侖試劑均 無明顯反應,但水解後可得一產物,其分子式為 C4H10O2。此水解產物可 被 KMnO4 氧化,氧化產物的分子式為 C4H6O4。寫出 P、Q、R 的結構式。 (6%)
31. 人類很早就已經知道奎寧樹皮的萃取物可治療瘧疾,其作用的主要成分是奎寧,別名金雞納霜或金雞納鹼,分子式為 C20H24N2O2,可用於治療與預 防瘧疾及治療焦蟲症的藥物。奎寧可由化合物甲與乙醇鈉(NaOC2H5)加熱而得,如下式所示。
其中由文獻中得知 R2為 OH、R3 為 OCH3,請依化合物甲的結構畫出奎寧結構。(2%)
1.寫出 KIO3 與 KI 在酸性溶液中反應生成 I2 之淨離子化學方程式。(2%)
2.維生素 C 錠中,所含維生素 C 之重量百分率。(2%)
(1)X 的實驗式 _______(1%) 與分子式___________ (1%)
(2) X 可能的結構共有幾個?(不必考慮環狀構造)(2%)
(3)由實驗四所得之結果顯示 X 的結構有何特性?(1%)在(2)中符合 X 的特性有幾個?(1%)
(4) X 的溶液呈酸性,畫出符合 X 特性的結構式(2%)
(1)若 P、Q 為電源供應器,則 P 應為__________ (填正或負極) (1%),電流方向爲__________時針(填順或逆) (1%)
(2)4 號電極處所發生的半反應式為__________ (1%)
(3)各溶液在電解一段時間後,電極 1:2:3:4:5:6:7:8 上析出的固體或氣體產物 mol 數的比依序為__________ (2%) (請以最簡單整數比表示)。
(4)四杯溶液在電解一段時間後,溶液 pH 值變大的有__________ (請以 A、B、C、D 作答)。(1%)
(5)若 D 杯中原有 10%、100 克的 NaOH 水溶液,已知電解一段時間後,溶液濃度變為 11%(假設電解過程中水不蒸發),則此時 A 杯所有產生的氣體體積在 STP 下為__________ 升。(2%)
35. 某溫度下,有一可逆反應:2NH3(g) + CO2(g)CO(NH2)2(s) + H2O(g),在密閉容器中達到平衡時,混合氣體的平均分子量為 30 g/mol,此時若溫度不變、加大壓力,當重新再度達到平衡時,混合氣體的平均分子量有何改 變? (增大、不變、減小或無法判斷) 。請列式說明原因。(4%)
五、 教案設計 (10%)高中 108 課綱有「自然科探究與實作」的必修課程,請以「溶液的滲透作用」為探究主題,撰寫一份每週 2 小時,共九週的課程計畫書。課程內容須 包含:(1)「發現問題」、「規劃與研究」、「論證與建模」以及「表達與分享」等四大自然科探究與實作的核心素養訓練。(2)每週課程的進行內容及評分方式。(3)化學實驗室必需提供的設備、器材與藥品。