題組內容
8.Consider the power series
in which the coefficients
= 1, 2, 3, 1, 2, 3, 1, 2, 3, …are periodic of period p=3 .
1. Find the radius of convergence of
.
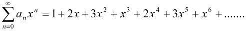
8.Consider the power series
in which the coefficients
= 1, 2, 3, 1, 2, 3, 1, 2, 3, …are periodic of period p=3 .
1. Find the radius of convergence of
.