題組內容
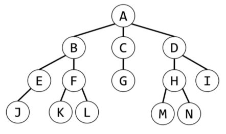
1. 下圖的樹狀結構有 (1.1) 個節點(node)和 (1.2) 個邊(edge), (1.3) 個葉節點(leaf node),樹的分支度(degree)為 (1.4) ,樹的高度(height)為 (1.5) ,A 節點的深度(depth)為 (1.6) 。(此題每格 1 分)
1.2
詳解 (共 1 筆)
詳解
a