所屬科目:教甄◆資訊科技概論專業(電腦科)
5. 請畫出下圖的最小成本生成樹(minimum cost spanning tree)。
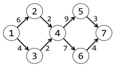
6. 有一個 AOE(Activity-on-Edge) 網路如下,請找出其臨界路徑(Critical Path)。
12. 下列程式碼執行後的輸出結果為何?
13. 下列程式碼執行後的輸出結果為何?(此題 3 分)
14. 下列程式碼執行後的輸出結果為何?
16. 「無限背包問題」又被稱為「完全背包問題」,即有 n 種物品和一個耐重上限為 W 的背 包,對於每種物品有其重量大小 weight 和所屬價值 cost。假設每種物品都有「無限多個」 可以索取,在不超過背包耐重上限之下,求出可放入背包的最大物品價值總和。 下列為無限背包問題的程式碼,假設背包耐重上限為 9 個單位,四種物品的重量大小與 所屬價值如下表,呼叫 find(weight, cost, 4, 9)後輸出結果為何?(此題 3 分)
17. 對於下列程式碼,使用下圖的樹狀結構呼叫 find(root)後輸出結果為何?(此題 3 分)
4. 「Two Sum」是一個既經典又充滿巧思的題目,題目敘述如下: