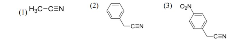
24.請將下列三個化合物的 pKa 由大至小排列: 【第 33 格答案】 。

詳解 (共 2 筆)
Ping Shung Wang
詳解 #3871067
24題的圖為下列這三個化合物

Ping Shung Wang
詳解 #3871093
24.請將下列三個化合物的 pKa 由大至小排列: 【第 33 格答案】 。

24題的圖為下列這三個化合物
