題組內容
40-43題為題組
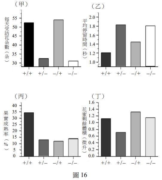
植物的花蜜富含香氣,可吸引某些鳥類前來取食。鳥類吸取花蜜之時,身體會接觸到花蕊與花粉,間接幫助植物授粉及繁衍後代。研究發現某野生菸草,其花蜜的主要成分為具香氣的苄丙酮與具毒性的尼古丁,兩者結構式如圖15。
為了探究這兩種成分對蜂鳥取食花蜜及對菸草繁衍的影響,研究者創造了花蜜中只含苄丙酮、只含尼古丁、以及兩者都缺乏的三型基改菸草。

然後,將這三型基改菸草與野生型菸草分別種植在不同樣區,於菸草開花期間同步記錄各區每天受蜂鳥到訪的花朵數目(圖16甲)、蜂鳥在每朵花停留時間的平均值(圖16乙)、果實之成熟率(圖16丙)與花朵中花蜜剩餘的體積(圖16丁)。
圖16之甲~丁橫軸為花蜜中含苄丙酮及尼古丁的狀態,如表7的說明。依據圖文資料,回答40~43題。


41.根據圖16結果,顯示苄丙酮與尼古丁對蜂鳥吸食花蜜有不同的影響,試推論其影響並說明推論理由。(於答題卷作答)

詳解 (共 1 筆)
詳解
☑抑制蜂鳥吸食花蜜
說明理由:只有尼古丁者,相較於對照組,花蜜剩餘量較多。
說明理由:只有尼古丁者,相較於對照組,花蜜剩餘量較多。