題組內容
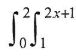
7. Consider the double integral
f(x, y) dy dx, in which f(x,y) is a function that is integrable over the region of integration.
b. Change or reverse the order of integration. In other words, rewrite the integral in the form of
. (5 分)
7. Consider the double integral
f(x, y) dy dx, in which f(x,y) is a function that is integrable over the region of integration.
b. Change or reverse the order of integration. In other words, rewrite the integral in the form of
. (5 分)