題組內容
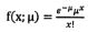
A Poisson random variabie, X-PO!(W), was defined as a discrete random variable with pdf,
, x= 0, 1,2, ..;
μ>0. Please show that
A Poisson random variabie, X-PO!(W), was defined as a discrete random variable with pdf,
, x= 0, 1,2, ..;
μ>0. Please show that