所屬科目:教甄◆數學
4. 老師想布一些「利用參照數比較分數大小」的問題進行教學,有四個布題如下:請問哪些問題是適合以為參照數進行分數大小比較的布題?(A)只有甲、丙 (B)只有甲、丁 (C)只有甲、丙、丁 (D)只有乙、丙、丁
5. 下列何者可能是分數所代表的意義? (A)2÷5的結果 (B)2:5的比值 (C)2個 (D)以上都對
14. 老師拿出一個圖形卡,如圖,想請學生確認該圖形是否為一個扇形?有三位學生的說法如下:甲、把圖形對摺(A、B兩點重合),如果對摺後圖形完全疊合,則此圖形為扇形。乙、拿圓規以C為圓心,AC為半徑畫圓,若弧AB為圓的一部分,則此圖形為扇形。丙、在弧AB上的任一點到點C的距離均相等,則此圖形為扇形。請問哪些學生的說法正確?(A)只有甲、乙 (B)只有甲、丙 (C)只有乙、丙 (D)甲、乙、丙
15. 某六年級教師依據十二年國教數學課綱學習內容「D-6-2解題:可能性」的說明,設計教學活動情境如下: 關於此情境,有兩項說法如下:在抽獎箱中放入 18 顆紅球,2 顆白球,並請學生抽取一顆球。 甲、學生要瞭解「抽中紅球的可能性是,抽中白球的可能性是」 乙、學生要瞭解「很有可能抽中紅球,不太可能抽中白球」 請問哪些說法符合「D-6-2解題:可能性」的學習內容? (A)甲、乙都符合 (B)甲符合、乙不符合 (C)甲不符合、乙符合 (D)甲、乙都不符合
19. 計算(-15)×6×42- ( -34 )÷9的值為何 ? (A) -1431 (B) -151 (C) 151 (D) 1431
21. 已知π 為圓周率,請問| 2π-6 |+| 2π-10 |的值是多少? (A) -4 (B) 4 (C) 16 (D)4 -16 π
22. 若P是一個質數,則 P2÷6 所得的餘數不可能是哪一個數? (A) 1 (B) 2 (C) 3 (D) 4
23. 欲使為正整數,當a、b均為滿足前述條件之最小正整數時,此時b-a之值為何? (A) 1 (B) 2 (C) 3 (D) 4
24. 在算式的中,填入哪一個運算符號可使計算出來的值最大? (A) + (B) - (C) × (D) ÷
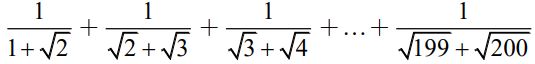
25.的結果最接近下列哪一個整數? (A) 11 (B) 13 (C) 15 (D) 17
26. 已知,試求a+b之值為何? (A) -10 (B) -7 (C) -3 (D) 3
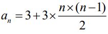
27. 數列滿足a1=3,,n為自然數,則下列選項何者正確? (A)是等比數列 (B)是等差數列 (C) (D)=168
29. 若x2+4xy+4y2-3x-6y- 4= 0之圖形為二平行線,則此兩平行線之距離為何? (A) (B) (C) 4 (D) 5
30. 設α和β為之二根,求α+β之值為何? (A) 3 (B) 4 (C) 9 (D) 12
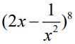
31. 將展開後,x2項的係數為何? (A) 448 (B) 896 (C) 1792 (D) 3584
33. 已知x4-x3+ax2+7x+b=0,其中 a,b ∈ R ,。若有一根為1+2i ,則a+b之值為何? (A)-3 (B)-1 (C)1 (D)3
36. 如圖,點O為圓心, 為兩互相垂直的半徑,A為圓上之一點,自A向兩垂直的半徑作高,得垂足分別為B及C,若= 8、= 6 ,則斜線部分面積為何? (A)100π-48 (B)48π-48 (C)25π-48 (D)24π-48
37. 如圖,已知正方形ABCD的邊長為1,在邊上取一點E,使得,連接D、E使其延長線與的延長線相交於F;在上取,並自G作使得 。求 =? (A) (B) (C)(D)
38. 有一圓內接四邊形ABCD,若 ,且∠ABC=120° ,則 為何? (A) 9 (B) 10 (C) 11 (D) 12
39. 已知平面上有一點P(5,-1)且圓C:x2+y2-4x-6y+9=0,若圓C上與P最近的點之座標為(a,b),則a+b之值為何? (A) (B) (C) (D)
40. 小志將兩個大小相同的光碟片的其中一部份疊合在一起(如圖)。已知 的長度是6公分, 且光碟片的直徑為12公分,則斜線部分的周長為多少公分? (A)2π (B)4π (C) (D)
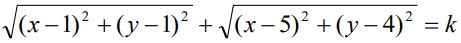
41. 若方程式,在座標平面上的圖形為一線段,則 k 值為何? (A) 2 (B) 3 (C) 4 (D) 5
42. 已知 一 次函 數f(x)=ax+b如圖所示, 下列哪 一個選項可能為三次函數 g(x)=2a(x+b)3的圖形 ﹖ (A) (B) (C) (D)
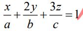
43. 已知平面與x軸、y軸、z軸分別交於A、B、C三點,試求 △ABC 面積為何? (A) (B) (C) (D)
44. 設A(1, 2 , 3)為平面E上一點,若與平面E垂直的向量= (a,b,c) ,則E的平面方程式為何? (A) ax+by+cz=1+2+3 (B) a(x-1)+b(y-2)+c(z-3)=a+2b+3c (C) (D) a(x-1)+b(y-2)+c(z-3)=0
45. 已知a,b為整數,且行列式,請問絕對值|a-b|為何? (A) 6 (B) 16 (C) 17 (D) 18
47. 由於雨量不足導致缺水,自來水公司決定未來7天之中選擇2天停止供水,則自來水公司共有幾種不同的選擇方式? (A) (B) (C) (D) 以上皆非
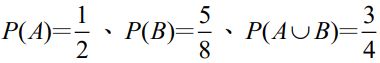
49. 已知 A、B為樣本空間中的兩事件,且 ,試求之值為何? (A) (B) (C) (D)
50. 擲三個公正的銅板一次,在至少出現一個正面的條件下,恰好出現兩個正面的機率為何? (A) (B) (C) (D)