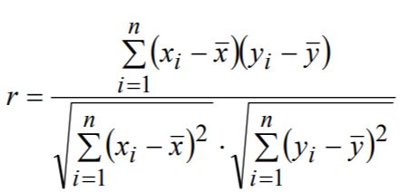
30. 在分析資料時,地理研究者常利用相關係數來衡量變數之間關聯的方向與程度的大
小。若以 (yi , xi), i = 1, 2, …, n 表示兩個變數的觀察值,則相關係數 (r)的計算公式可以
下式表示:
,
其中,
與
分別為上述二變數觀察值之平均數。
假設表 3 所列為實際取得之變數觀察值: 表 3
經代入相關係數公式可得相關係數 r = 0,表示此二變數似乎「不相關」;但檢視表
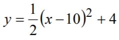
中數據卻發現, y與 x之關係恰可表示為:
,似乎又顯示二者有極高
程度的關聯。
當資料分析遇到這種狀況,研究者應如何處理?
(A)廢除舊資料,重新調查 (B)檢查變數之間是否為線性或非線性的關係
(C)選取有利的數字進行解讀 (D)配合資料,修訂相關係數的公式