阿摩線上測驗
登入
首頁
>
技檢◆機工類共同科目
> 無年度 - 90001 機工類共同科目 丙級 工作項目 02:行業數學 #51642
無年度 - 90001 機工類共同科目 丙級 工作項目 02:行業數學 #51642
科目:
技檢◆機工類共同科目 |
選擇題數:
22 |
申論題數:
0
試卷資訊
所屬科目:
技檢◆機工類共同科目
選擇題 (22)
1. 下列何者為無理數(A)0.5(B) 1/3(C)√2 (D)2/5 。
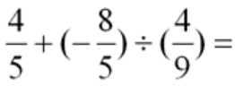
2. 求
(A)
(B)
(C)
(D)
。
3. 計算(-3)×27-4×12-15=(A)-144(B)18(C)-85(D)-175。
4. 在
中任取三數相乘,則乘積中最小值為(A)
(B)
(C)
(D)
。
5. 求
是在哪兩個連續整數之間?(A)18、19(B)22、23(C)26、27(D)29、30。
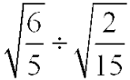
6. 計算
(A) √5(B)3(C)√15 (D)5。
7. 設 ΔABC 之三頂點座標分別為 A(2,4)、B(7,4)、C(7,8),則此三角形為(A)直角三角形(B)鈍角三角形(C)等腰三角形 (D)等邊三角形。
8. 如下圖,△ABC 中,若
,∠A=50°,∠1=∠2,則∠BDC=(A)100°(B)112°(C)115°(D)120°。
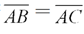
9. 直角△ABC 中,
為斜邊,
為斜邊上的高,則
=(A)9.6(B)10.4(C)12.4(D)15。
10. ΔABC 中,若
=18,且 D、E 分別為
的中點,則
的長度為(A)6(B)6 √2(C)9(D)9√ 2。
11. 下圖中,已知線段 L 與 M 平行,則下列敘述何者不正確(A)∠3=∠6(B)∠1=∠8(C)∠1+∠8=180°(D)∠2+∠5=180°。
12. 平行四邊形 ABCD 中,若
,且
的差為 10 cm,則此平行四邊形的周長為(A)40 cm(B)70 cm(C)100 cm(D)120 cm。
13. 下圖四邊形 ABCD 為一平行四邊形,則下列何者不一定會成立?(A)
(B)∠B=∠D(C)∠B+∠C =180°(D)∠A+∠C=180°。
14. P 為圓 O 外一點, 、
分別切圓 O 於 A、B 兩點,連接
若∠APO =35°,則∠AOB =(A)70°(B)90°(C)110°(D)130°。
15. 設
為圓 O 之直徑,C 點在圓上,且
,則∠BOC=(A)30°(B)45°(C)60°(D)90°。
16. 有兩相似三角形,其中一三角形之三個邊長依序為 6、8、10,另一個三角形之三個邊長依序為 X、12、Y,則 X+Y =(A)14(B)20(C)24(D)30。
17. 下列有關相似三角形的敘述,何者不正確?(A)若兩三角形相似,則對應角必相等(B)若兩三角形全等,則必相似 (C)若兩三角形相似,則對應邊成比例關係(D)若兩三角形相似,則必全等。
18. 設△ABC~△DEF,若 A =45°,B =75°,則(A)∠C =50°(B)∠D =75°(C)∠E =30°(D)∠F =60°。
19. 兩相似平形四邊形 ABCD 及 EFGH,
的對應邊是
,若
=10cm,
=15cm,且
=5:3,則平 形四邊形 EFGH 的周長為(A)15 cm(B)30 cm(C)45 cm(D)60 cm。
20. 一圓直徑兩端的二切線必定會(A)平行(B)垂直(C)相交(D)重合。
21. 已知圓 O 的直徑為 20,若弦
的弦心距為 6,則
=(A)6(B)12(C)16(D)20。
22. 設圓 O 的直徑為 10,若點 P 在圓 O 內部,則下列何者正確(A)
=5(B)
=10(C)
>5(D)
<5。
申論題 (0)
相關試卷
115年 - 90001 機工類共同科目 乙級 工作項目 09:品質管制 1-40(2026/01/14 更新)#136850
115年 · #136850
115年 - 90001 機工類共同科目 乙級 工作項目 08:氣油壓概論 1-55(2026/01/14 更新)#136849
115年 · #136849
115年 - 90001 機工類共同科目 乙級 工作項目 07:電腦概論 1-44(2026/01/14 更新)#136848
115年 · #136848
115年 - 90001 機工類共同科目 乙級 工作項目 06:機件原理 1-52(2026/01/14 更新)#136847
115年 · #136847
115年 - 90001 機工類共同科目 乙級 工作項目 05:機械工作法 51-72(2026/01/14 更新)#136846
115年 · #136846
115年 - 90001 機工類共同科目 乙級 工作項目 05:機械工作法 1-50(2026/01/14 更新)#136845
115年 · #136845
115年 - 90001 機工類共同科目 乙級 工作項目 04:金屬材料 1-52(2026/01/14 更新)#136843
115年 · #136843
115年 - 90001 機工類共同科目 乙級 工作項目 03:精密量測 51-74(2026/01/14 更新)#136842
115年 · #136842
115年 - 90001 機工類共同科目 乙級 工作項目 03:精密量測 1-50(2026/01/14 更新)#136841
115年 · #136841
115年 - 90001 機工類共同科目 乙級 工作項目 02:行業數學 1-50(2026/01/14 更新)#136840
115年 · #136840