阿摩線上測驗
登入
首頁
>
技檢◆機工類共同科目
> 115年 - 90001 機工類共同科目 乙級 工作項目 02:行業數學 1-50(2026/01/14 更新)#136840
115年 - 90001 機工類共同科目 乙級 工作項目 02:行業數學 1-50(2026/01/14 更新)#136840
科目:
技檢◆機工類共同科目 |
年份:
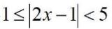
115年 |
選擇題數:
50 |
申論題數:
0
試卷資訊
所屬科目:
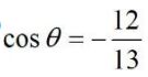
技檢◆機工類共同科目
選擇題 (50)
1. 有一矩形的長度為(5x+4),寬為(x-3),若其周長為 50cm,則此矩形之面積為 (A)12cm
2
(B)18cm
2
(C)24cm
2
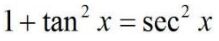
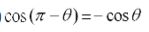
(D)36cm
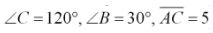
2
。
2. 方程式
的解為 x= (A)-3 (B)3 (C)-1 (D)1 。
3. 下列何者為一元二次方程式? (A)x
2
-2x+1 (B)2x+y-3=0 (C)x(x-2)=4 (D)x
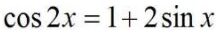
2
+2x+3=x
2
+1。
4. 若方程式3x-2y=x-4y=5 ,則 2x-3y= (A)-1 (B)2 (C)4 (D)5 。
5. 有一個三角形的高為底長之 ,如果高為 x cm,則此三角形之面積為 (A)
(B)
(C)
(D)
。
6. 多項式 2x
2
-5x+2 可經因式分解為 (A)(2x-1)(x-2) (B)(x+2)(2x+1) (C)(2x+1)(x-2) (D)(2x-1)(x+2) 。
7. 有一濃度為 80%的酒精溶液若干公升,若加入 20 公升的水後,酒精濃度變為 60%,則原有酒精溶液為 (A)30 公升 (B)60 公升 (C)90 公升 (D)120 公升 。
8. 若方程式(x-3)(2x+1)=0,則 2x+1 之值為 (A)7 (B)2 (C)0 (D)7 或 0 。
9. 求一元二次方程式 2x
2
+1=5x-1之解為 (A)
(B)x=±1 (C)x=±2(D)
。
10. 若
,則 1-2x 之值等於 (A)2 (B)
(C)
(D)
。
11. 一個二位數,其個位數字與十位數字的和為 9,若將個位數字與十位數字對調,則所得到的新數比原數少 9,則原數是多少? (A)36 (B)63 (C)45 (D)54 。
12. 解下列一次方程式
,則 x= (A)
(B)
(C)
(D)
。
13. 有一梯形上底為(2x+3)cm、下底為(5x-1)cm、高為 8cm,若此梯形的面積為 36cm2,則 x= (A)1 (B)2 (C)3 (D)4 。
14. 已知,
,則 d= (A)5 (B)7 (C)9 (D)13 。
15. 將多項式2xy+5x+4y+10因式分解,可以得到 (A)(2x+2)(y+5) (B)(2y+2)(x+5) (C)(2y+5)(x+2) (D)(2x+5)(y+2) 。
16. 下列何者為銳角? (A)-π (B)
(C)
(D)
。
17. 已知
為一個直角三角形,其中
,
為較大的銳角,兩股長分別為5、12,則 sin A= (A)
(B)
(C)
(D)
。
18.
的值等於 (A)
(B)
(C)
(D)1 。
19. 直角三角形 ABC 中,
,求
的值等於 (A)
(B)
(C)
(D)1 。
20. 直角三角形 ABC 中,
,求
的值等於 (A)
(B)
(C)
(D)
。
21.
(A)0 (B)-1 (C)1 (D)2 。
22.
(A)0 (B)
(C)
(D)1 。
23. 直角三角形 ABC 中,
為銳角且
,求
的值等於 (A)
(B)
(C)
(D)√3。
24. 直角三角形 ABC 中,
,求 sin A+cos B= (A)1 (B)√2 (C)2(D)2√2 。
25. 設θ為任一角,則下列有關三角函數的關係,何者有誤? (A)
(B)
(C)
(D)
。
26. 利用正弦定律,若
中,
,求
= (A)5√3 (B)
(C)10√3 (D)10 。
27. 利用餘弦定律,若 中,a,b,c 分別代表,對邊之邊長,且 a=2,b=3,c=4,則 cos A= (A)
(B)
(C)
(D)
。
28. 有一個氣球在距離 A 同學 10m 處的距離由地面垂直等速上升,經過 10sec後,A 同學看到氣球的角度剛好為仰角 60 度,則此氣球上升的速度為 (A)
(B)
(C)
(D)
。
29. 15×15mm 之正方形,其外接圓直徑為 (A)18.25mm (B)21.21mm (C)25.25mm(D)31.31mm 。
30. 單邊長為 40mm 的正六角形,其外接圓半徑為 (A)40mm (B)47mm (C)52mm(D)55mm 。
31. 若
,則
= (A)
(B)
(C)
(D)
。
32. 若
,則θ= (A)30° (B)45° (C)60° (D)90° 。
33. 已知
,利用三角恆等式,則
= (A)
(B)1 (C)2 (D)4 。
34. 若α代表角度,已知 ,則α= (A)10° (B)12° (C)15° (D)18° 。
35. 切削速度係指單位時間工件經過刀刃的距離,其單位通常表示為 (A)mm/rev (B)rpm (C)m/min (D)m/sec
2
。
36. 車削工件時,工件旋轉一圈,刀具所前進的距離,稱為 (A)主軸轉速 (B)迴轉速度 (C)切削速度 (D)進給 。
37. 有一輛汽車以 18km/h 的等速度,沿 30 度的斜坡向上行駛 10 秒,則此一汽車所爬行的直線高度為 (A)18m (B)25m (C)36m (D)50m 。
38. A、B 兩車沿一直線路徑同向行駛,A 車先以 200m/min 的速率出發,10min 後,B 車以 300m/min 的速率沿相同的路線追趕,則 B 車多久可以趕上 A 車? (A)5min (B)10min (C)15min (D)20min 。
39. 雞加兔共 55 隻,合計共有 160 隻腳,則兔有 (A)10 隻 (B)15 隻 (C)20 隻 (D)25 隻 。
40. 設 x 表任意一奇數,則下列何者必為偶數? (A)x+5 (B)2x+3 (C)3x+8 (D)x2 。
複選題
41. 方程式
之幾何,下列敘述何者正確? (A)頂點座標(1,1) (B)焦點座標(1,-0.5) (C)準線方程式 y=2.5 (D)軸線平行於 x 軸 。
複選題
42. 下列公式何者正確? (A)
(B)
(C)
(D)
。
複選題
43. 一組三角板可畫出下列何種角度? (A)15° (B)75° (C)105° (D)125° 。
複選題
44. 如下圖所示有一直徑 Xmm 之圓棒,欲切削成對邊為 12mm 之正六邊形,則下列何者比較節省材料?
(A)X=13.86 (B)X=12.26 (C)h=0.98 (D)h=0.93 。
複選題
45. 二次函數
的圖形如下圖所示,下列何者正確?
(A)a<0 (B)b<0(C)c<0 (D)b2-4ac<0 。
複選題
46. 解出不等式
,下列何者正確? (A)
(B)
(C)
(D)
。
複選題
47. 下列敘述,何者正確? (A)若 a,b 都是無理數,則 a+b 是無理數 (B)若 a,b都是無理數,則 ab 是無理數 (C)若 a 是有理數,b 是無理數,則 a+b 是無理數 (D)若 a+b,a-b 都是有理數,則 a,b 都是有理數 。
複選題
48. 若
且
,下列何者正確? (A)
(B)
(C)
(D)
。
複選題
49. 有一材料長 1mX 寬 10cmX 厚 10mm,下列何者正確?(比重:鋼 7.8,鋁 2.7) (A)材料為鋼鐵,則重量約為 7.8kg (B)材料為鋼鐵,則重量約為 8.9kg (C)材料為鋁合金,則重量約為 2.7kg (D)材料為鋁合金,則重量約為 7.1kg 。
複選題
50. 在同一平面相交的兩圓弧,可用下列何種方法解得交點座標? (A)兩個二元二次方程式求解 (B)兩個二元一次方程式求解 (C)兩個極座標方程式求解(D)兩個一元二次方程式求解 。
申論題 (0)
相關試卷
115年 - 90001 機工類共同科目 乙級 工作項目 09:品質管制 1-40(2026/01/14 更新)#136850
115年 · #136850
115年 - 90001 機工類共同科目 乙級 工作項目 08:氣油壓概論 1-55(2026/01/14 更新)#136849
115年 · #136849
115年 - 90001 機工類共同科目 乙級 工作項目 07:電腦概論 1-44(2026/01/14 更新)#136848
115年 · #136848
115年 - 90001 機工類共同科目 乙級 工作項目 06:機件原理 1-52(2026/01/14 更新)#136847
115年 · #136847
115年 - 90001 機工類共同科目 乙級 工作項目 05:機械工作法 51-72(2026/01/14 更新)#136846
115年 · #136846
115年 - 90001 機工類共同科目 乙級 工作項目 05:機械工作法 1-50(2026/01/14 更新)#136845
115年 · #136845
115年 - 90001 機工類共同科目 乙級 工作項目 04:金屬材料 1-52(2026/01/14 更新)#136843
115年 · #136843
115年 - 90001 機工類共同科目 乙級 工作項目 03:精密量測 51-74(2026/01/14 更新)#136842
115年 · #136842
115年 - 90001 機工類共同科目 乙級 工作項目 03:精密量測 1-50(2026/01/14 更新)#136841
115年 · #136841
115年 - 90001 機工類共同科目 乙級 工作項目 01:機械製圖 1-40(2026/01/14 更新)#136839
115年 · #136839